🇳🇴 🇬🇧 🇩🇪 🇨🇿 🇫🇮

Meteor over Ã…mot 2026-02-24 03:58:15 UTC

KML-fil  |  Interaktivt kart

Kartet viser peilingene for meteoren. De lysere linjene viser retningene fra observasjonsstedene for meteorens tilsynekomst, og de mørkere linjene viser hvor den sist kunne sees. Den blå pila viser meteorens synlige ferd.

static map
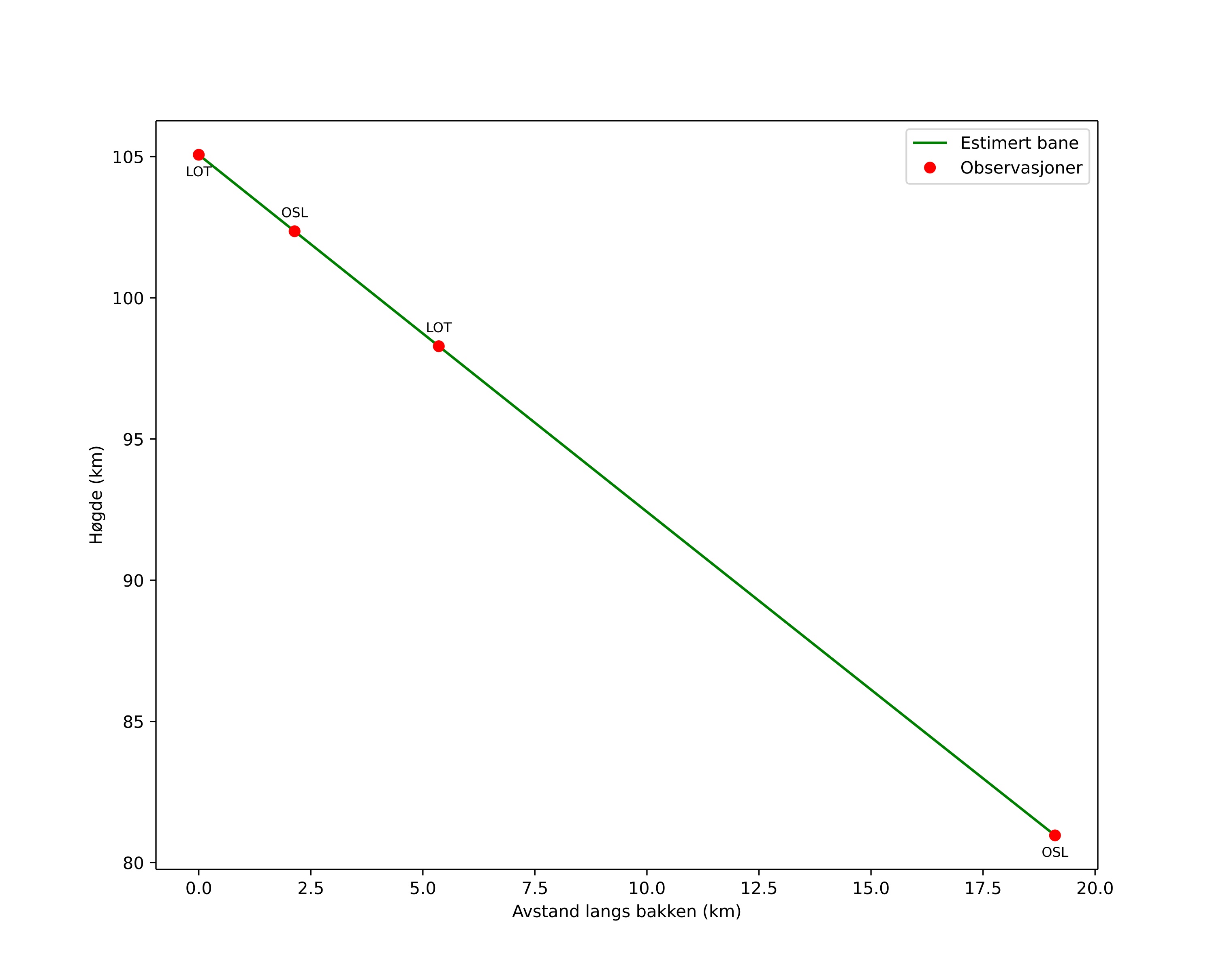
height profile
Meteorens atmosfæriske bane:
Starthøgde: 105,1 km
Slutthøgde: 81,0 km
Startposisjon: 59,570N 7,631E
Sluttposisjon: 59,639N 7,943E
Retning: 66,2°
Fallvinkel: 51,6°
Inngangshastighet: 98,2 km/s
Radiantens rektascensjon: 11:51 (177,9°)
Radiantens deklinasjon: 33,2°
Meteorsverm: sporadisk
Meteoroidens baneelement:
Perihelavstand: 0,468 AU
Eksentrisitet: 5,134
Inklinasjon: 69,8°
Knutelengde: 335,2°
Perihelargument: 248,3°
Midlere anomali: -402,9°
Epoke: 2026 FEB 24 03:58:15
orbit plot

Ikke-interaktivt plott | Interaktivt plott

position vs time
speed and acceleration

Loten (LOT) cam4


preview
Videoer
• Gnomonisk
• Gnomonisk med koordinater
• Original
• Original med koordinater
Bilder
• Gnomonisk
• Gnomonisk med koordinater
• Original
• Original med koordinater
Tekstfiler
• Deteksjon
• Observasjon
• Koordinater
• Logg
Lysstyrke

Voksenlia (OSL) cam3


preview
Videoer
• Gnomonisk
• Gnomonisk med koordinater
• Original
• Original med koordinater
Bilder
• Gnomonisk
• Gnomonisk med koordinater
• Original
• Original med koordinater
Tekstfiler
• Deteksjon
• Observasjon
• Koordinater
• Logg
Lysstyrke