🇳🇴 🇬🇧 🇩🇪 🇨🇿 🇫🇮

Meteor Dokkan yllä 2026-02-24 04:51:39 UTC

KML-tiedosto  |  Interaktiivinen kartta

Kartta näyttää meteorin suuntahavainnot. Vaaleammat viivat näyttävät suunnat havaintoasemilta meteorin ilmestyessä, ja tummemmat viivat näyttävät, missä se viimeksi nähtiin. Sininen nuoli näyttää meteorin näkyvän lennon.

static map
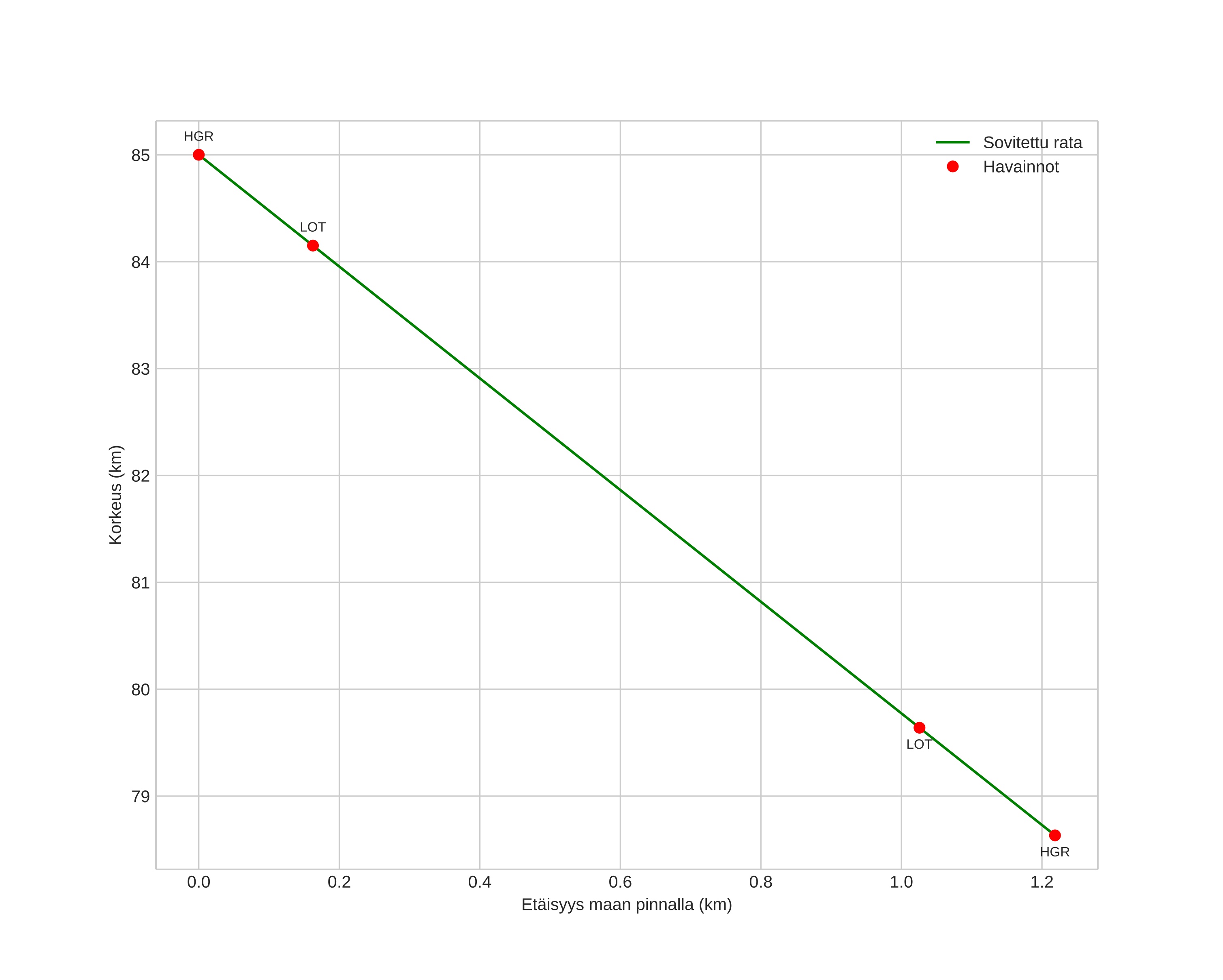
height profile
Meteorin ilmakehärata:
Alkukorkeus: 85,0 km
Loppukorkeus: 78,6 km
Alkupiste: 61,001N 10,207E
Loppupiste: 60,999N 10,185E
Suunta: 262,0°
Kallistuskulma: 79,2°
Tulonopeus: 32,1 km/s
Radiantin R,A,: 17:16 (259,1°)
Radiantin Dekl,: 60,6°
Meteoriparvi: Sporadinen
Meteoroidin rataelementit:
Perihelietäisyys: 0,989 AU
Eksentrisyys: 0,762
Inklinaatio: 48,5°
Nousevan solmun pituus: 335,2°
Perihelin argumentti: 183,2°
Keskianomalia: 359,7°
Epookki: 2026 FEB 24 04:51:39
orbit plot

Ei-interaktiivinen kuvaaja | Interaktiivinen kuvaaja

position vs time
speed and acceleration

Hagar (HGR) cam7


preview
Videot:
• Gnomoninen
• Gnomoninen koordinaateilla
• Alkuperäinen
• Alkuperäinen koordinaateilla
Kuvat:
• Gnomoninen
• Gnomoninen koordinaateilla
• Alkuperäinen
• Alkuperäinen koordinaateilla
Tekstitiedostot:
• Havaintoraportti
• Observaatio
• Koordinaatit
• Loki
Kirkkaus

Loten (LOT) cam6


preview
Videot:
• Gnomoninen
• Gnomoninen koordinaateilla
• Alkuperäinen
• Alkuperäinen koordinaateilla
Kuvat:
• Gnomoninen
• Gnomoninen koordinaateilla
• Alkuperäinen
• Alkuperäinen koordinaateilla
Tekstitiedostot:
• Havaintoraportti
• Observaatio
• Koordinaatit
• Loki
Kirkkaus