🇳🇴 🇬🇧 🇩🇪 🇨🇿 🇫🇮

Meteor Arjeplogin yllä 2026-02-25 02:11:50 UTC

KML-tiedosto  |  Interaktiivinen kartta

Kartta näyttää meteorin suuntahavainnot. Vaaleammat viivat näyttävät suunnat havaintoasemilta meteorin ilmestyessä, ja tummemmat viivat näyttävät, missä se viimeksi nähtiin. Sininen nuoli näyttää meteorin näkyvän lennon.

static map
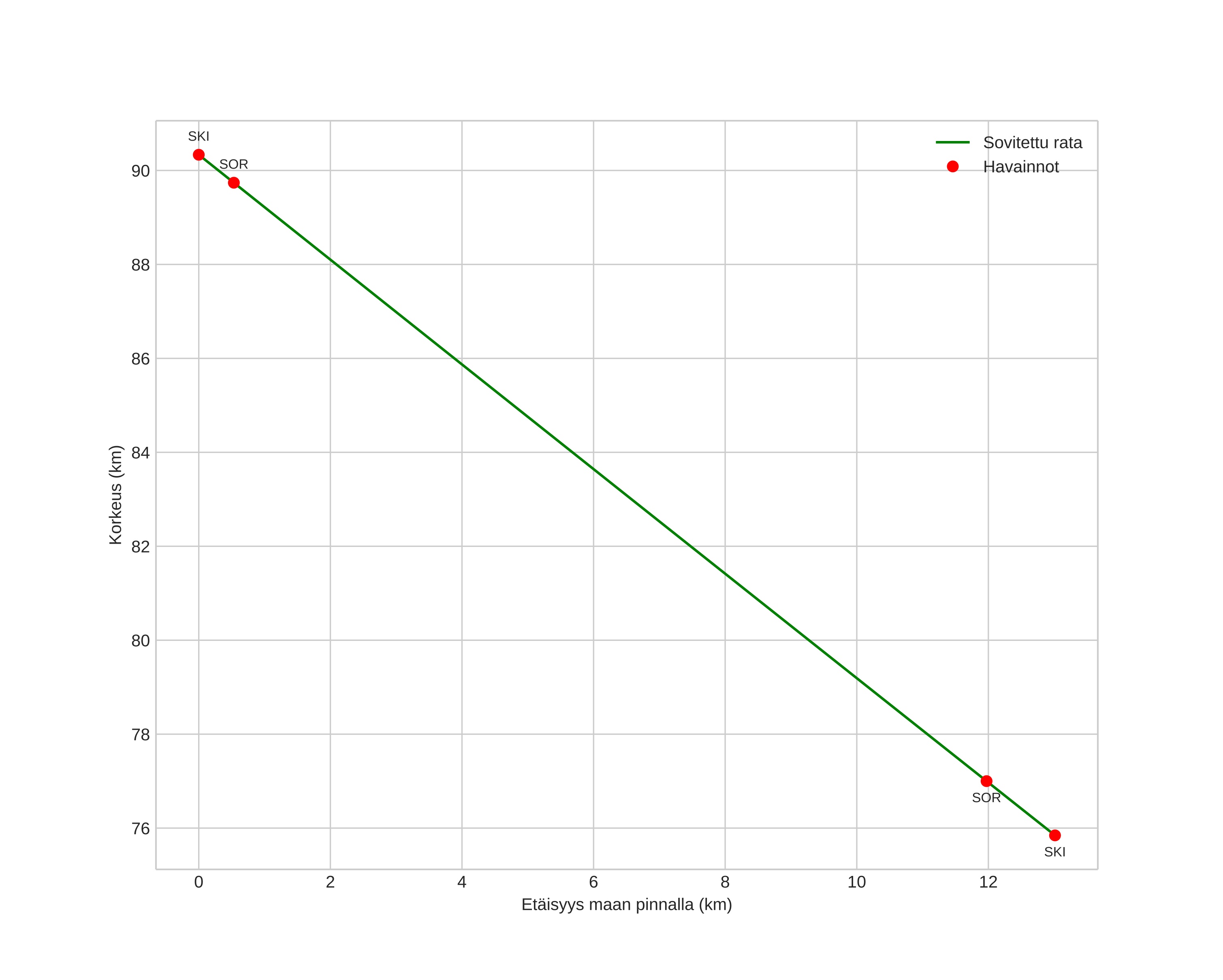
height profile
Meteorin ilmakehärata:
Alkukorkeus: 90,3 km
Loppukorkeus: 75,8 km
Alkupiste: 67,125N 18,235E
Loppupiste: 67,074N 17,965E
Suunta: 244,0°
Kallistuskulma: 48,1°
Tulonopeus: 27,8 km/s
Radiantin R,A,: 19:42 (295,6°)
Radiantin Dekl,: 51,7°
Meteoriparvi: Sporadinen
Meteoroidin rataelementit:
Perihelietäisyys: 0,923 AU
Eksentrisyys: 0,636
Inklinaatio: 40,3°
Nousevan solmun pituus: 336,1°
Perihelin argumentti: 145,8°
Keskianomalia: 6,1°
Epookki: 2026 FEB 25 02:11:50
orbit plot

Ei-interaktiivinen kuvaaja | Interaktiivinen kuvaaja

position vs time
speed and acceleration

Skibotn (SKI) cam4


preview
Videot:
• Gnomoninen
• Gnomoninen koordinaateilla
• Alkuperäinen
• Alkuperäinen koordinaateilla
Kuvat:
• Gnomoninen
• Gnomoninen koordinaateilla
• Alkuperäinen
• Alkuperäinen koordinaateilla
Tekstitiedostot:
• Havaintoraportti
• Observaatio
• Koordinaatit
• Loki
Kirkkaus

Sorreisa (SOR) cam3


preview
Videot:
• Gnomoninen
• Gnomoninen koordinaateilla
• Alkuperäinen
• Alkuperäinen koordinaateilla
Kuvat:
• Gnomoninen
• Gnomoninen koordinaateilla
• Alkuperäinen
• Alkuperäinen koordinaateilla
Tekstitiedostot:
• Havaintoraportti
• Observaatio
• Koordinaatit
• Loki
Kirkkaus