🇳🇴 🇬🇧 🇩🇪 🇨🇿 🇫🇮

Meteor over Ávanuorri 2026-02-25 02:47:24 UTC

KML-fil  |  Interaktivt kart

Kartet viser peilingene for meteoren. De lysere linjene viser retningene fra observasjonsstedene for meteorens tilsynekomst, og de mørkere linjene viser hvor den sist kunne sees. Den blå pila viser meteorens synlige ferd.

static map
height profile
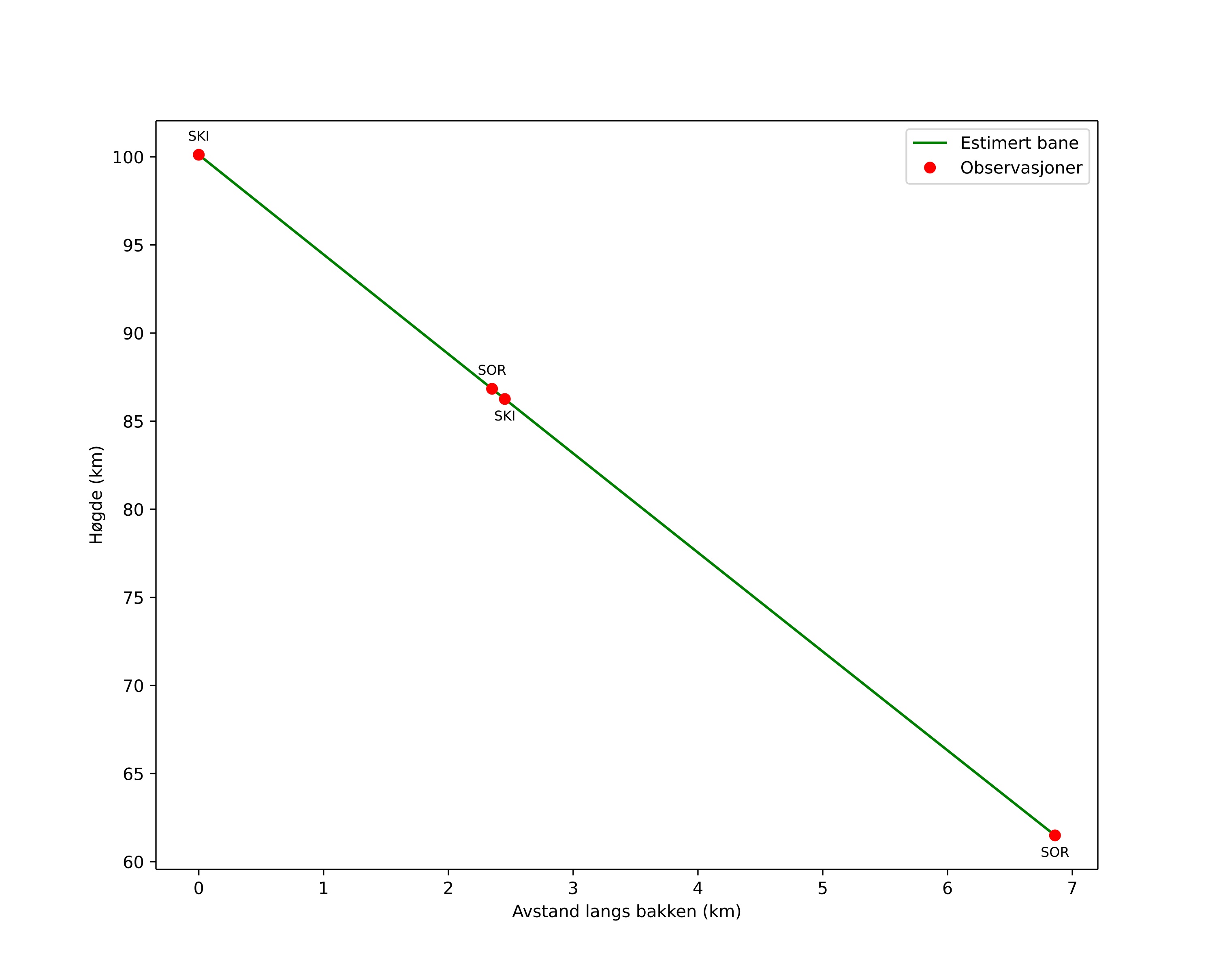
Meteorens atmosfæriske bane:
Starthøgde: 100,1 km
Slutthøgde: 61,5 km
Startposisjon: 70,975N 24,521E
Sluttposisjon: 70,985N 24,334E
Retning: 279,0°
Fallvinkel: 79,9°
Inngangshastighet: 34,2 km/s
Radiantens rektascensjon: 16:30 (247,6°)
Radiantens deklinasjon: 67,1°
Meteorsverm: sporadisk
Meteoroidens baneelement:
Perihelavstand: 0,980 AU
Eksentrisitet: 1,114
Inklinasjon: 47,6°
Knutelengde: 336,1°
Perihelargument: 191,2°
Midlere anomali: -0,3°
Epoke: 2026 FEB 25 02:47:24
orbit plot

Ikke-interaktivt plott | Interaktivt plott

position vs time
speed and acceleration