🇳🇴 🇬🇧 🇩🇪 🇨🇿 🇫🇮

Meteor, poloha: Ávanuorri 2026-02-25 02:47:24 UTC

Soubor KML  |  Interaktivní mapa

Mapa zobrazuje dráhy meteoru. Světlejší čáry ukazují směry od pozorovacích stanic při objevení se meteoru a tmavší čáry, kde byl naposledy viděn. Modrá šipka značí viditelnou dráhu meteoru.

static map
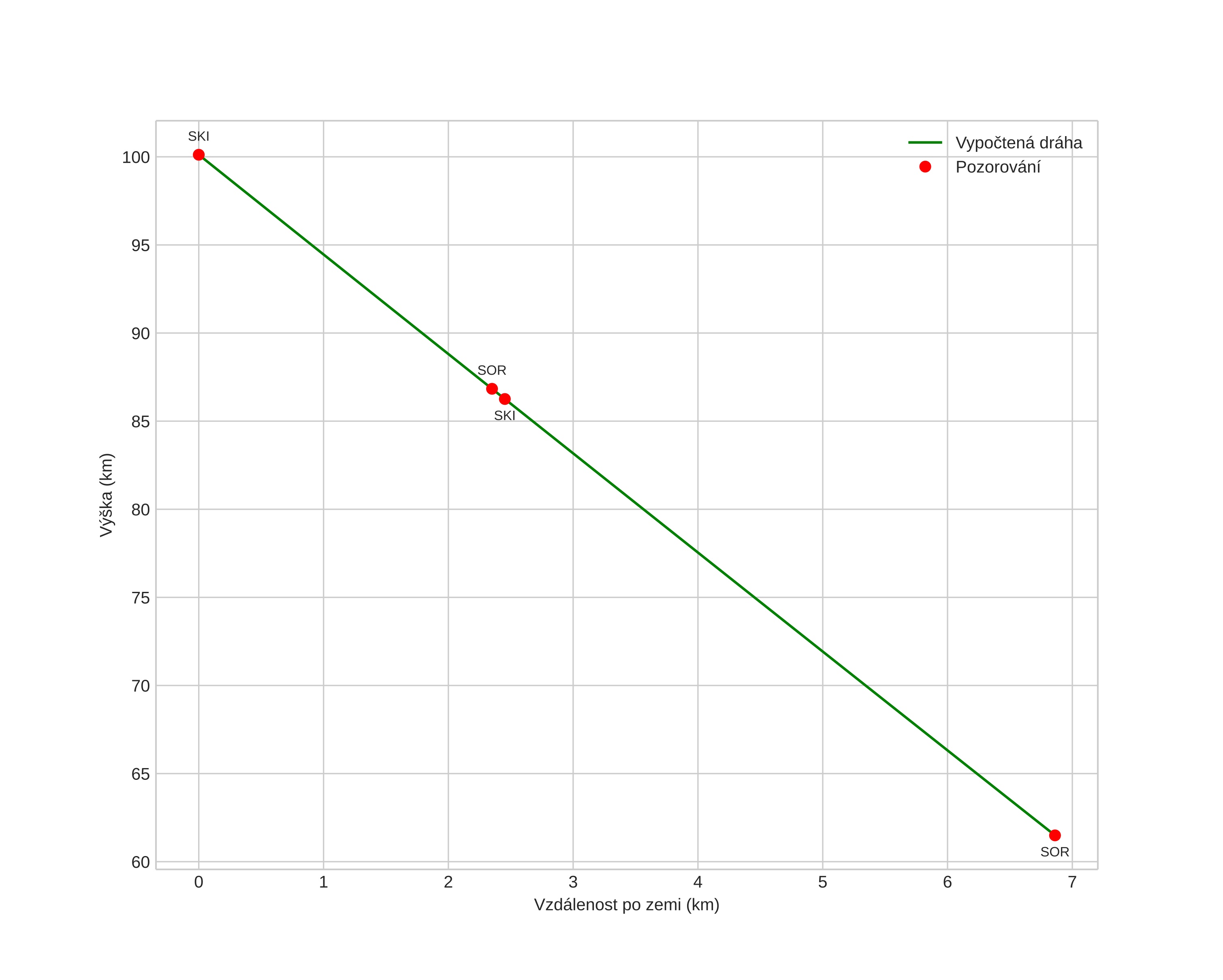
height profile
Atmosférická dráha meteoru:
Počáteční výška: 100,1 km
Konečná výška: 61,5 km
Počáteční poloha: 70,975N 24,521E
Konečná poloha: 70,985N 24,334E
Směr: 279,0°
Sklon: 79,9°
Vstupní rychlost: 34,2 km/s
Rektascenze radiantu: 16:30 (247,6°)
Deklinace radiantu: 67,1°
Meteorický roj: sporadický
Elementy dráhy meteoroidu:
Vzdálenost v periheliu: 0,980 AU
Excentricita: 1,114
Sklon dráhy: 47,6°
Délka vzestupného uzlu: 336,1°
Argument perihelia: 191,2°
Střední anomálie: -0,3°
Epocha: 2026 FEB 25 02:47:24
orbit plot

Neinteraktivní graf | Interaktivní graf

position vs time
speed and acceleration