🇳🇴 🇬🇧 🇩🇪 🇨🇿 🇫🇮

Meteor over Noresund 2026-02-28 04:54:17 UTC

KML-fil  |  Interaktivt kart

Kartet viser peilingene for meteoren. De lysere linjene viser retningene fra observasjonsstedene for meteorens tilsynekomst, og de mørkere linjene viser hvor den sist kunne sees. Den blå pila viser meteorens synlige ferd.

static map
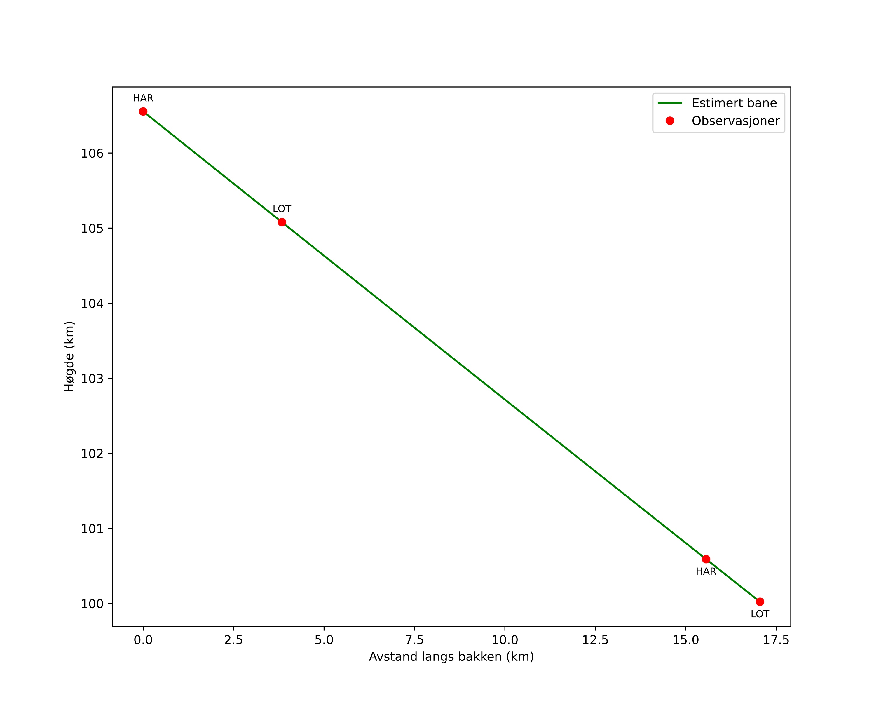
height profile
Meteorens atmosfæriske bane:
Starthøgde: 106,6 km
Slutthøgde: 100,0 km
Startposisjon: 60,115N 9,440E
Sluttposisjon: 60,266N 9,491E
Retning: 9,5°
Fallvinkel: 21,2°
Inngangshastighet: 63,5 km/s
Radiantens rektascensjon: 15:25 (231,4°)
Radiantens deklinasjon: -8,9°
Meteorsverm: sporadisk
Meteoroidens baneelement:
Perihelavstand: 0,628 AU
Eksentrisitet: 0,633
Inklinasjon: 160,1°
Knutelengde: 339,2°
Perihelargument: 266,8°
Midlere anomali: 338,8°
Epoke: 2026 FEB 28 04:54:17
orbit plot

Ikke-interaktivt plott | Interaktivt plott

position vs time
speed and acceleration

Harestua (HAR) cam7


preview
Videoer
• Gnomonisk
• Gnomonisk med koordinater
• Original
• Original med koordinater
Bilder
• Gnomonisk
• Gnomonisk med koordinater
• Original
• Original med koordinater
Tekstfiler
• Deteksjon
• Observasjon
• Koordinater
• Logg
Lysstyrke

Loten (LOT) cam4


preview
Videoer
• Gnomonisk
• Gnomonisk med koordinater
• Original
• Original med koordinater
Bilder
• Gnomonisk
• Gnomonisk med koordinater
• Original
• Original med koordinater
Tekstfiler
• Deteksjon
• Observasjon
• Koordinater
• Logg
Lysstyrke