🇳🇴 🇬🇧 🇩🇪 🇨🇿 🇫🇮

Meteor Noresundin yllä 2026-02-28 04:54:17 UTC

KML-tiedosto  |  Interaktiivinen kartta

Kartta näyttää meteorin suuntahavainnot. Vaaleammat viivat näyttävät suunnat havaintoasemilta meteorin ilmestyessä, ja tummemmat viivat näyttävät, missä se viimeksi nähtiin. Sininen nuoli näyttää meteorin näkyvän lennon.

static map
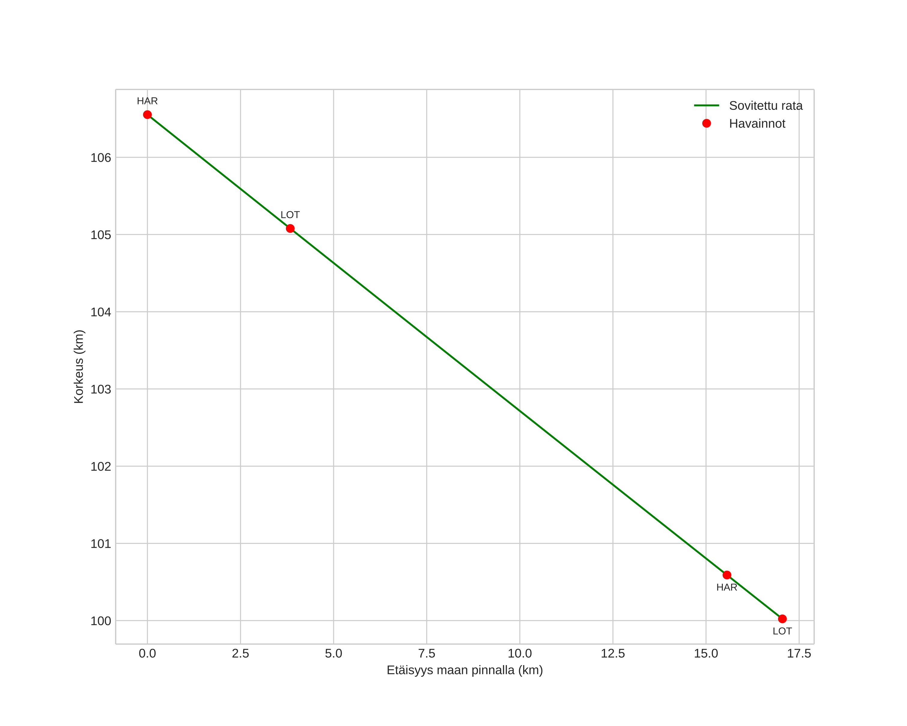
height profile
Meteorin ilmakehärata:
Alkukorkeus: 106,6 km
Loppukorkeus: 100,0 km
Alkupiste: 60,115N 9,440E
Loppupiste: 60,266N 9,491E
Suunta: 9,5°
Kallistuskulma: 21,2°
Tulonopeus: 63,5 km/s
Radiantin R,A,: 15:25 (231,4°)
Radiantin Dekl,: -8,9°
Meteoriparvi: Sporadinen
Meteoroidin rataelementit:
Perihelietäisyys: 0,628 AU
Eksentrisyys: 0,633
Inklinaatio: 160,1°
Nousevan solmun pituus: 339,2°
Perihelin argumentti: 266,8°
Keskianomalia: 338,8°
Epookki: 2026 FEB 28 04:54:17
orbit plot

Ei-interaktiivinen kuvaaja | Interaktiivinen kuvaaja

position vs time
speed and acceleration

Harestua (HAR) cam7


preview
Videot:
• Gnomoninen
• Gnomoninen koordinaateilla
• Alkuperäinen
• Alkuperäinen koordinaateilla
Kuvat:
• Gnomoninen
• Gnomoninen koordinaateilla
• Alkuperäinen
• Alkuperäinen koordinaateilla
Tekstitiedostot:
• Havaintoraportti
• Observaatio
• Koordinaatit
• Loki
Kirkkaus

Loten (LOT) cam4


preview
Videot:
• Gnomoninen
• Gnomoninen koordinaateilla
• Alkuperäinen
• Alkuperäinen koordinaateilla
Kuvat:
• Gnomoninen
• Gnomoninen koordinaateilla
• Alkuperäinen
• Alkuperäinen koordinaateilla
Tekstitiedostot:
• Havaintoraportti
• Observaatio
• Koordinaatit
• Loki
Kirkkaus