🇳🇴 🇬🇧 🇩🇪 🇨🇿 🇫🇮

Meteor über Ålen 2026-03-01 03:18:37 UTC

KML-Datei  |  Interaktive Karte

Die Karte zeigt die Peilungen für den Meteor. Die helleren Linien zeigen die Richtungen von den Beobachtungsorten beim Erscheinen des Meteors, und die dunkleren Linien, wo er zuletzt gesehen wurde. Der blaue Pfeil zeigt die sichtbare Bahn des Meteors.

static map
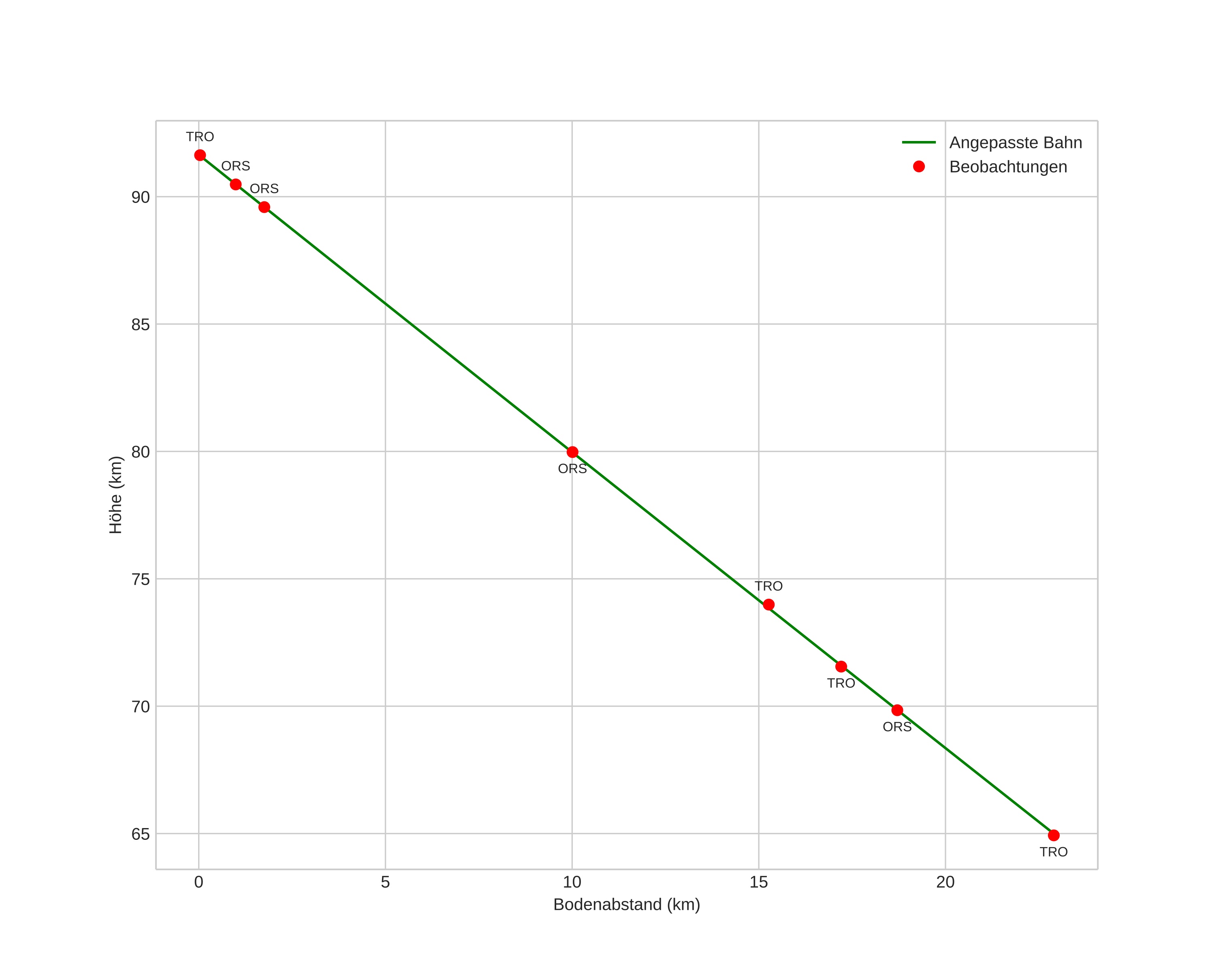
height profile
Atmosphärische Bahn des Meteors:
Anfangshöhe: 91,6 km
Endhöhe: 65,0 km
Startposition: 63,223N 11,434E
Endposition: 63,026N 11,302E
Richtung: 197,0°
Neigungswinkel: 49,2°
Eintrittsgeschwindigkeit: 12,4 km/s
Rektaszension des Radianten: 00:56 (14,2°)
Deklination des Radianten: 58,4°
Meteorstrom: sporadisch
Bahnelemente des Meteoroiden:
Periheldistanz: 0,981 AU
Exzentrizität: 0,273
Inklination: 6,8°
Länge des aufsteigenden Knotens: 340,2°
Argument des Perihels: 162,5°
Mittlere Anomalie: 9,7°
Epoche: 2026 MAR 01 03:18:37
orbit plot

Nicht-interaktives Diagramm | Interaktives Diagramm

position vs time
speed and acceleration

Orsta (ORS) cam1


preview
Videos
• Gnomonisch
• Gnomonisch mit Koordinaten
• Original
• Original mit Koordinaten
Bilder
• Gnomonisch
• Gnomonisch mit Koordinaten
• Original
• Original mit Koordinaten
Textdateien
• Erkennung
• Beobachtung
• Koordinaten
• Protokoll
Helligkeit

Trondheim (TRO) cam6


preview
Videos
• Gnomonisch
• Gnomonisch mit Koordinaten
• Original
• Original mit Koordinaten
Bilder
• Gnomonisch
• Gnomonisch mit Koordinaten
• Original
• Original mit Koordinaten
Textdateien
• Erkennung
• Beobachtung
• Koordinaten
• Protokoll
Helligkeit

Trondheim (TRO) cam7


preview
Videos
• Gnomonisch
• Gnomonisch mit Koordinaten
• Original
• Original mit Koordinaten
Bilder
• Gnomonisch
• Gnomonisch mit Koordinaten
• Original
• Original mit Koordinaten
Textdateien
• Erkennung
• Beobachtung
• Koordinaten
• Protokoll
Helligkeit