🇳🇴 🇬🇧 🇩🇪 🇨🇿 🇫🇮

Meteor über Meråker 2026-03-01 21:20:57 UTC

KML-Datei  |  Interaktive Karte

Die Karte zeigt die Peilungen für den Meteor. Die helleren Linien zeigen die Richtungen von den Beobachtungsorten beim Erscheinen des Meteors, und die dunkleren Linien, wo er zuletzt gesehen wurde. Der blaue Pfeil zeigt die sichtbare Bahn des Meteors.

static map
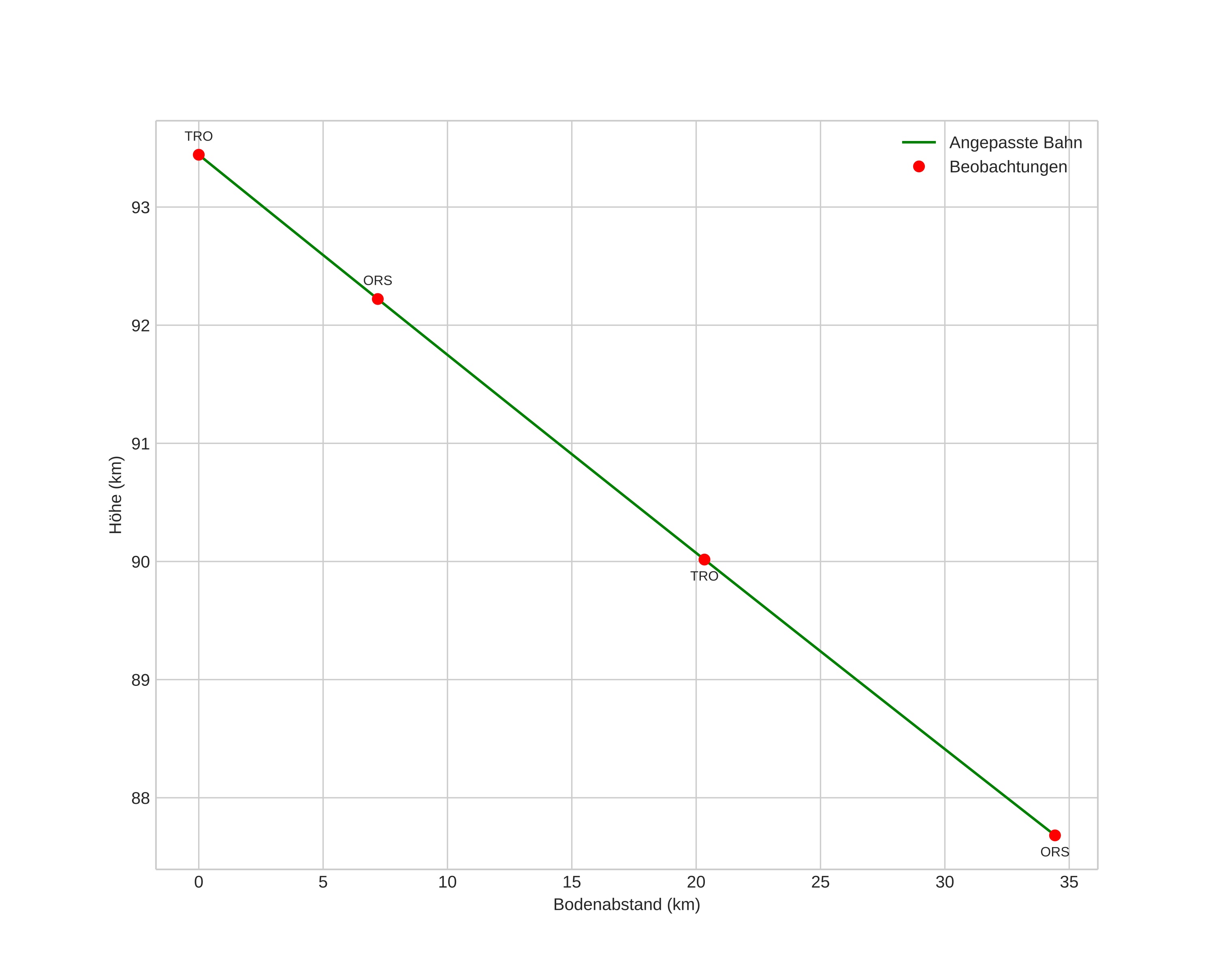
height profile
Atmosphärische Bahn des Meteors:
Anfangshöhe: 93,4 km
Endhöhe: 87,7 km
Startposition: 63,277N 12,566E
Endposition: 63,478N 12,040E
Richtung: 310,6°
Neigungswinkel: 9,4°
Eintrittsgeschwindigkeit: 38,6 km/s
Rektaszension des Radianten: 12:07 (181,8°)
Deklination des Radianten: -10,1°
Meteorstrom: sporadisch
Bahnelemente des Meteoroiden:
Periheldistanz: 0,144 AU
Exzentrizität: 0,923
Inklination: 20,3°
Länge des aufsteigenden Knotens: 160,9°
Argument des Perihels: 141,4°
Mittlere Anomalie: 346,1°
Epoche: 2026 MAR 01 21:20:57
orbit plot

Nicht-interaktives Diagramm | Interaktives Diagramm

position vs time
speed and acceleration

Orsta (ORS) cam1


preview
Videos
• Gnomonisch
• Gnomonisch mit Koordinaten
• Original
• Original mit Koordinaten
Bilder
• Gnomonisch
• Gnomonisch mit Koordinaten
• Original
• Original mit Koordinaten
Textdateien
• Erkennung
• Beobachtung
• Koordinaten
• Protokoll
Helligkeit

Trondheim (TRO) cam2


preview
Videos
• Gnomonisch
• Gnomonisch mit Koordinaten
• Original
• Original mit Koordinaten
Bilder
• Gnomonisch
• Gnomonisch mit Koordinaten
• Original
• Original mit Koordinaten
Textdateien
• Erkennung
• Beobachtung
• Koordinaten
• Protokoll
Helligkeit