🇳🇴 🇬🇧 🇩🇪 🇨🇿 🇫🇮

Meteor Charlottenbergin yllä 2026-03-02 00:03:36 UTC

KML-tiedosto  |  Interaktiivinen kartta

Kartta näyttää meteorin suuntahavainnot. Vaaleammat viivat näyttävät suunnat havaintoasemilta meteorin ilmestyessä, ja tummemmat viivat näyttävät, missä se viimeksi nähtiin. Sininen nuoli näyttää meteorin näkyvän lennon.

static map
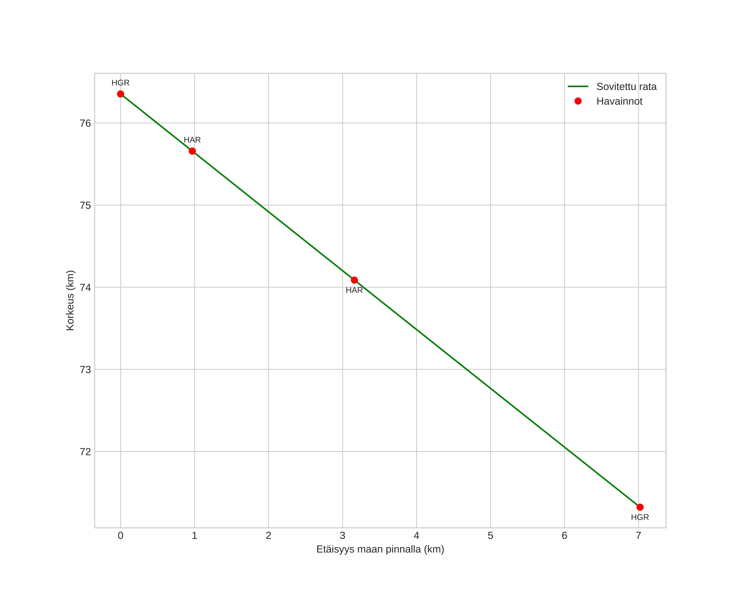
height profile
Meteorin ilmakehärata:
Alkukorkeus: 76,4 km
Loppukorkeus: 71,3 km
Alkupiste: 60,177N 12,357E
Loppupiste: 60,119N 12,407E
Suunta: 157,0°
Kallistuskulma: 36,0°
Tulonopeus: 17,4 km/s
Radiantin R,A,: 02:00 (30,2°)
Radiantin Dekl,: 54,2°
Meteoriparvi: Sporadinen
Meteoroidin rataelementit:
Perihelietäisyys: 0,979 AU
Eksentrisyys: 0,875
Inklinaatio: 12,0°
Nousevan solmun pituus: 341,0°
Perihelin argumentti: 167,1°
Keskianomalia: 0,4°
Epookki: 2026 MAR 02 00:03:36
orbit plot

Ei-interaktiivinen kuvaaja | Interaktiivinen kuvaaja

position vs time
speed and acceleration

Hagar (HGR) cam3


preview
Videot:
• Gnomoninen
• Gnomoninen koordinaateilla
• Alkuperäinen
• Alkuperäinen koordinaateilla
Kuvat:
• Gnomoninen
• Gnomoninen koordinaateilla
• Alkuperäinen
• Alkuperäinen koordinaateilla
Tekstitiedostot:
• Havaintoraportti
• Observaatio
• Koordinaatit
• Loki
Kirkkaus

Harestua (HAR) cam2


preview
Videot:
• Gnomoninen
• Gnomoninen koordinaateilla
• Alkuperäinen
• Alkuperäinen koordinaateilla
Kuvat:
• Gnomoninen
• Gnomoninen koordinaateilla
• Alkuperäinen
• Alkuperäinen koordinaateilla
Tekstitiedostot:
• Havaintoraportti
• Observaatio
• Koordinaatit
• Loki
Kirkkaus