🇳🇴 🇬🇧 🇩🇪 🇨🇿 🇫🇮

Meteor, poloha: Reinsvoll 2026-03-05 01:02:49 UTC

Soubor KML  |  Interaktivní mapa

Mapa zobrazuje dráhy meteoru. Světlejší čáry ukazují směry od pozorovacích stanic při objevení se meteoru a tmavší čáry, kde byl naposledy viděn. Modrá šipka značí viditelnou dráhu meteoru.

static map
height profile
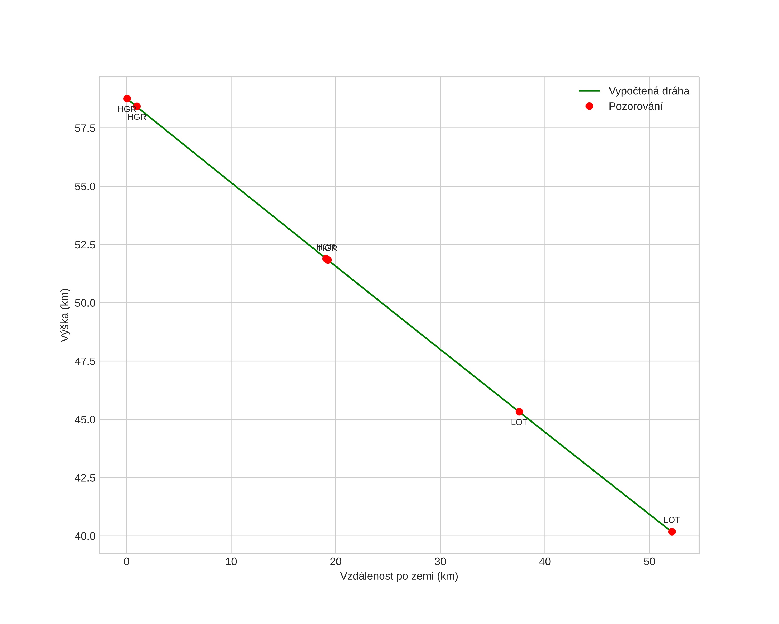
Atmosférická dráha meteoru:
Počáteční výška: 58,8 km
Konečná výška: 40,2 km
Počáteční poloha: 60,513N 9,680E
Konečná poloha: 60,622N 10,608E
Směr: 76,2°
Sklon: 19,6°
position vs time
speed and acceleration