🇳🇴 🇬🇧 🇩🇪 🇨🇿 🇫🇮

Meteor over Töcksfors 2026-03-06 04:33:49 UTC

KML-fil  |  Interaktivt kart

Kartet viser peilingene for meteoren. De lysere linjene viser retningene fra observasjonsstedene for meteorens tilsynekomst, og de mørkere linjene viser hvor den sist kunne sees. Den blå pila viser meteorens synlige ferd.

static map
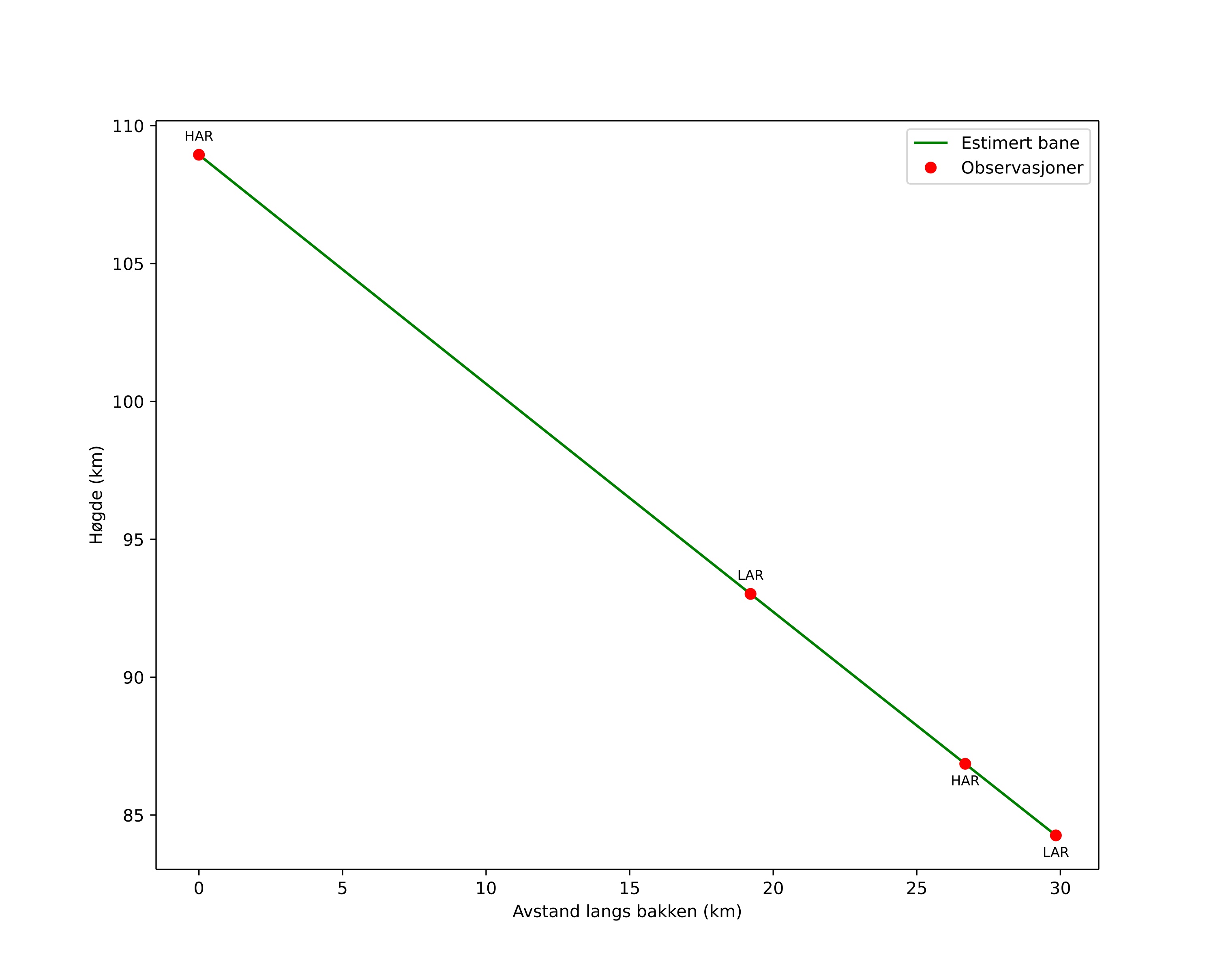
height profile
Meteorens atmosfæriske bane:
Starthøgde: 106,0 km
Slutthøgde: 88,4 km
Startposisjon: 59,708N 12,329E
Sluttposisjon: 59,747N 11,929E
Retning: 280,9°
Fallvinkel: 37,6°
Inngangshastighet: 39,2 km/s
Radiantens rektascensjon: 20:21 (305,4°)
Radiantens deklinasjon: 25,8°
Meteorsverm: sporadisk
Meteoroidens baneelement:
Perihelavstand: 0,578 AU
Eksentrisitet: 0,836
Inklinasjon: 56,9°
Knutelengde: 345,2°
Perihelargument: 94,7°
Midlere anomali: 6,3°
Epoke: 2026 MAR 06 04:33:49
orbit plot

Ikke-interaktivt plott | Interaktivt plott

position vs time
speed and acceleration

Harestua (HAR) cam7


preview
Videoer
• Gnomonisk
• Gnomonisk med koordinater
• Original
• Original med koordinater
Bilder
• Gnomonisk
• Gnomonisk med koordinater
• Original
• Original med koordinater
Tekstfiler
• Deteksjon
• Observasjon
• Koordinater
• Logg
Lysstyrke

Larvik (LAR) cam2


preview
Videoer
• Gnomonisk
• Gnomonisk med koordinater
• Original
• Original med koordinater
Bilder
• Gnomonisk
• Gnomonisk med koordinater
• Original
• Original med koordinater
Tekstfiler
• Deteksjon
• Observasjon
• Koordinater
• Logg
Lysstyrke