🇳🇴 🇬🇧 🇩🇪 🇨🇿 🇫🇮

Meteor über Töcksfors 2026-03-06 04:33:49 UTC

KML-Datei  |  Interaktive Karte

Die Karte zeigt die Peilungen für den Meteor. Die helleren Linien zeigen die Richtungen von den Beobachtungsorten beim Erscheinen des Meteors, und die dunkleren Linien, wo er zuletzt gesehen wurde. Der blaue Pfeil zeigt die sichtbare Bahn des Meteors.

static map
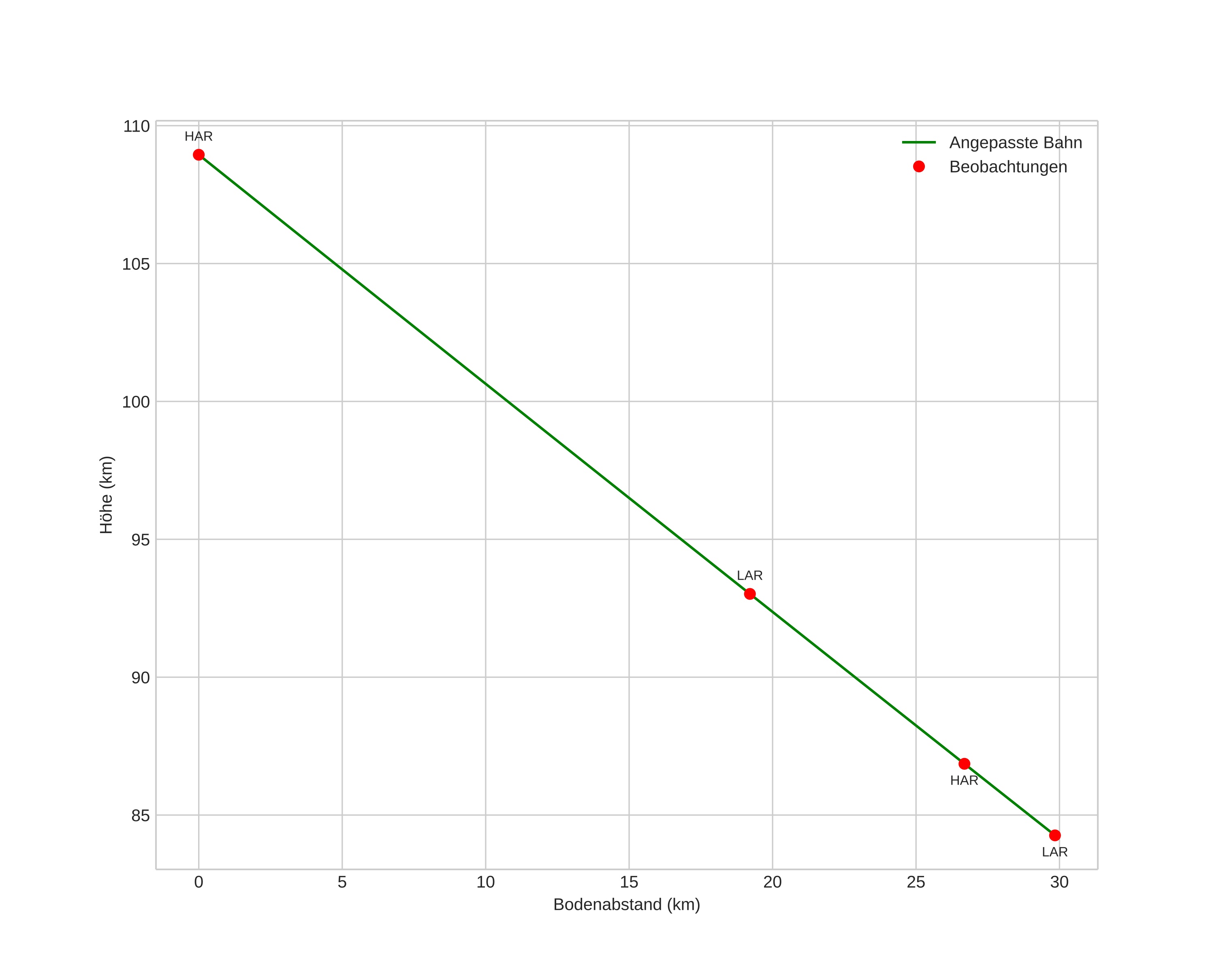
height profile
Atmosphärische Bahn des Meteors:
Anfangshöhe: 108,9 km
Endhöhe: 84,3 km
Startposition: 59,697N 12,374E
Endposition: 59,765N 11,859E
Richtung: 284,9°
Neigungswinkel: 39,5°
Eintrittsgeschwindigkeit: 47,7 km/s
Rektaszension des Radianten: 20:04 (301,2°)
Deklination des Radianten: 26,0°
Meteorstrom: sporadisch
Bahnelemente des Meteoroiden:
Periheldistanz: 0,631 AU
Exzentrizität: 1,126
Inklination: 70,3°
Länge des aufsteigenden Knotens: 345,2°
Argument des Perihels: 108,3°
Mittlere Anomalie: 3,1°
Epoche: 2026 MAR 06 04:33:49
orbit plot

Nicht-interaktives Diagramm | Interaktives Diagramm

position vs time
speed and acceleration

Harestua (HAR) cam7


preview
Videos
• Gnomonisch
• Gnomonisch mit Koordinaten
• Original
• Original mit Koordinaten
Bilder
• Gnomonisch
• Gnomonisch mit Koordinaten
• Original
• Original mit Koordinaten
Textdateien
• Erkennung
• Beobachtung
• Koordinaten
• Protokoll
Helligkeit

Larvik (LAR) cam2


preview
Videos
• Gnomonisch
• Gnomonisch mit Koordinaten
• Original
• Original mit Koordinaten
Bilder
• Gnomonisch
• Gnomonisch mit Koordinaten
• Original
• Original mit Koordinaten
Textdateien
• Erkennung
• Beobachtung
• Koordinaten
• Protokoll
Helligkeit