🇳🇴 🇬🇧 🇩🇪 🇨🇿 🇫🇮

Meteor Mjøndalenin yllä 2026-03-10 02:29:44 UTC

KML-tiedosto  |  Interaktiivinen kartta

Kartta näyttää meteorin suuntahavainnot. Vaaleammat viivat näyttävät suunnat havaintoasemilta meteorin ilmestyessä, ja tummemmat viivat näyttävät, missä se viimeksi nähtiin. Sininen nuoli näyttää meteorin näkyvän lennon.

static map
height profile
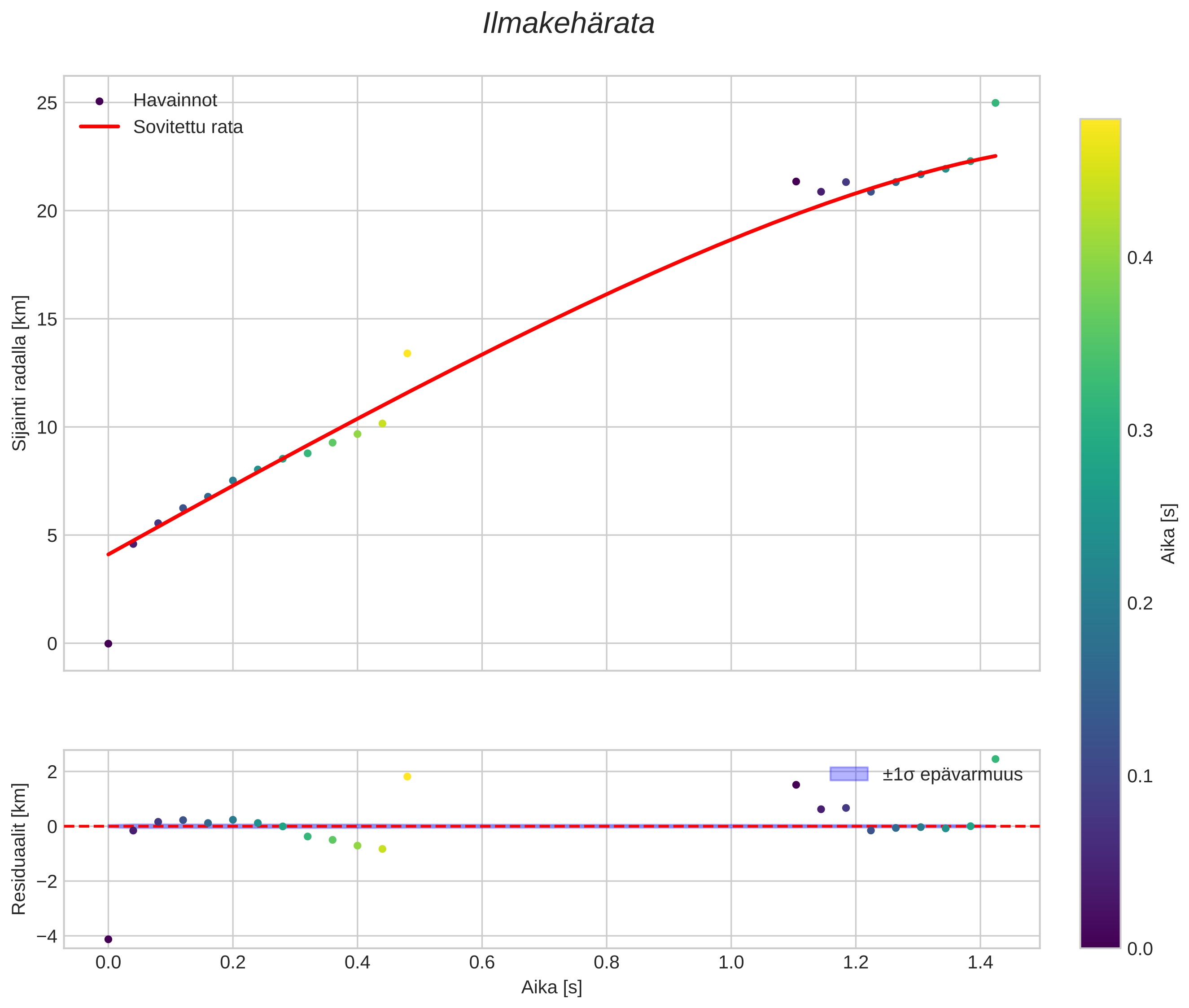
Meteorin ilmakehärata:
Alkukorkeus: 100,5 km
Loppukorkeus: 70,1 km
Alkupiste: 59,759N 9,912E
Loppupiste: 59,773N 10,107E
Suunta: 81,6°
Kallistuskulma: 70,1°
Tulonopeus: 60,6 km/s
Radiantin R,A,: 12:04 (181,2°)
Radiantin Dekl,: 51,7°
Meteoriparvi: Sporadinen
Meteoroidin rataelementit:
Perihelietäisyys: 0,794 AU
Eksentrisyys: 3,934
Inklinaatio: 46,8°
Nousevan solmun pituus: 349,2°
Perihelin argumentti: 221,5°
Keskianomalia: -109,5°
Epookki: 2026 MAR 10 02:29:44
orbit plot

Ei-interaktiivinen kuvaaja | Interaktiivinen kuvaaja

position vs time
speed and acceleration

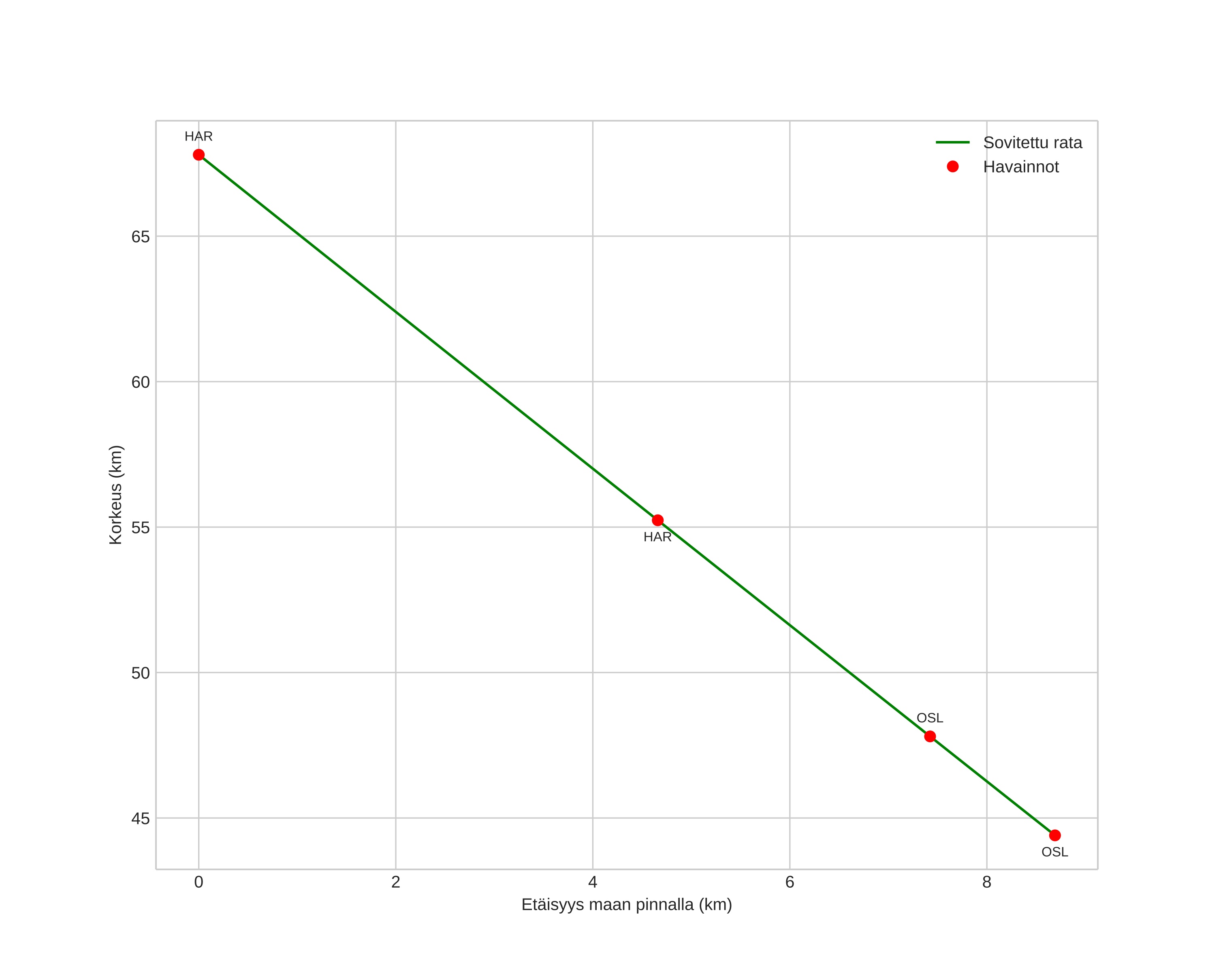
Harestua (HAR) cam7


preview
Videot:
• Gnomoninen
• Gnomoninen koordinaateilla
• Alkuperäinen
• Alkuperäinen koordinaateilla
Kuvat:
• Gnomoninen
• Gnomoninen koordinaateilla
• Alkuperäinen
• Alkuperäinen koordinaateilla
Tekstitiedostot:
• Havaintoraportti
• Observaatio
• Koordinaatit
• Loki
Kirkkaus

Voksenlia (OSL) cam7


preview
Videot:
• Gnomoninen
• Gnomoninen koordinaateilla
• Alkuperäinen
• Alkuperäinen koordinaateilla
Kuvat:
• Gnomoninen
• Gnomoninen koordinaateilla
• Alkuperäinen
• Alkuperäinen koordinaateilla
Tekstitiedostot:
• Havaintoraportti
• Observaatio
• Koordinaatit
• Loki
Kirkkaus