🇳🇴 🇬🇧 🇩🇪 🇨🇿 🇫🇮

Meteor over Smögen 2026-03-14 21:47:32 UTC

KML-fil  |  Interaktivt kart

Kartet viser peilingene for meteoren. De lysere linjene viser retningene fra observasjonsstedene for meteorens tilsynekomst, og de mørkere linjene viser hvor den sist kunne sees. Den blå pila viser meteorens synlige ferd.

static map
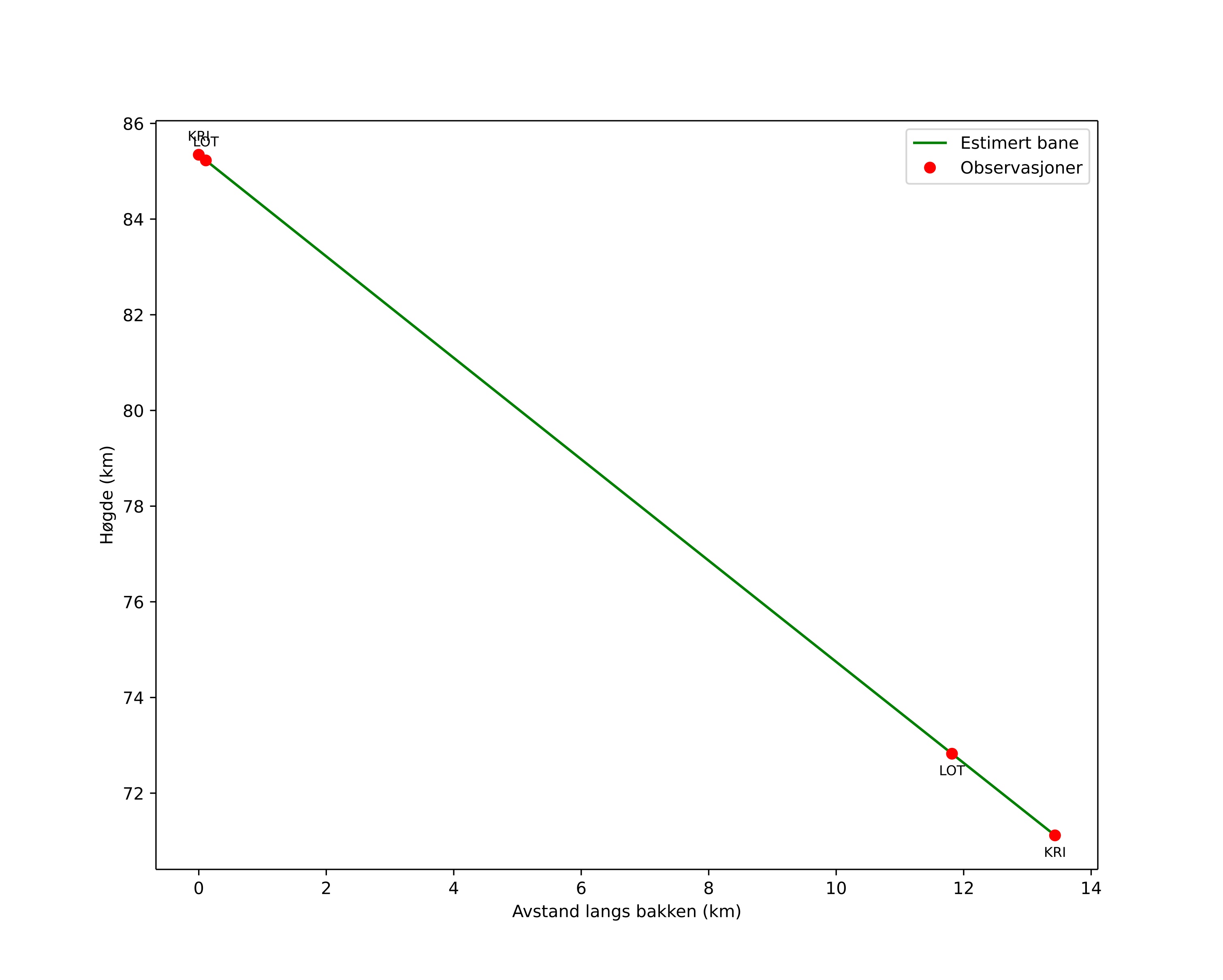
height profile
Meteorens atmosfæriske bane:
Starthøgde: 85,3 km
Slutthøgde: 71,1 km
Startposisjon: 58,360N 10,790E
Sluttposisjon: 58,436N 10,611E
Retning: 309,0°
Fallvinkel: 46,6°
Inngangshastighet: 31,2 km/s
Radiantens rektascensjon: 12:22 (185,5°)
Radiantens deklinasjon: 21,8°
Meteorsverm: sporadisk
Meteoroidens baneelement:
Perihelavstand: 0,558 AU
Eksentrisitet: 0,921
Inklinasjon: 20,6°
Knutelengde: 354,0°
Perihelargument: 265,1°
Midlere anomali: 357,9°
Epoke: 2026 MAR 14 21:47:32
orbit plot

Ikke-interaktivt plott | Interaktivt plott

position vs time
speed and acceleration

Kristiansand (KRI) cam2


preview
Videoer
• Gnomonisk
• Gnomonisk med koordinater
• Original
• Original med koordinater
Bilder
• Gnomonisk
• Gnomonisk med koordinater
• Original
• Original med koordinater
Tekstfiler
• Deteksjon
• Observasjon
• Koordinater
• Logg
Lysstyrke

Loten (LOT) cam4


preview
Videoer
• Gnomonisk
• Gnomonisk med koordinater
• Original
• Original med koordinater
Bilder
• Gnomonisk
• Gnomonisk med koordinater
• Original
• Original med koordinater
Tekstfiler
• Deteksjon
• Observasjon
• Koordinater
• Logg
Lysstyrke