🇳🇴 🇬🇧 🇩🇪 🇨🇿 🇫🇮

Meteor Smögenin yllä 2026-03-14 21:47:32 UTC

KML-tiedosto  |  Interaktiivinen kartta

Kartta näyttää meteorin suuntahavainnot. Vaaleammat viivat näyttävät suunnat havaintoasemilta meteorin ilmestyessä, ja tummemmat viivat näyttävät, missä se viimeksi nähtiin. Sininen nuoli näyttää meteorin näkyvän lennon.

static map
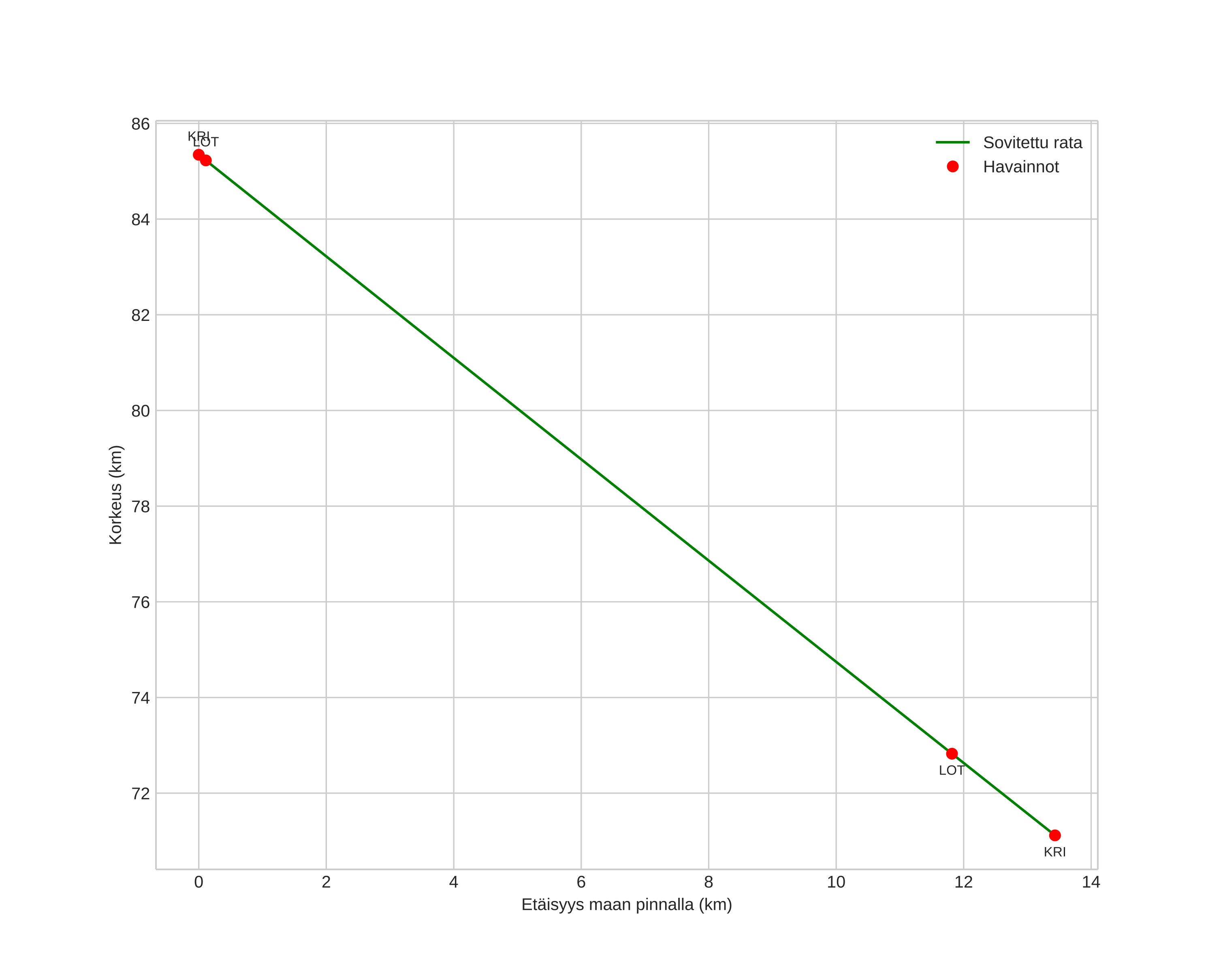
height profile
Meteorin ilmakehärata:
Alkukorkeus: 85,3 km
Loppukorkeus: 71,1 km
Alkupiste: 58,360N 10,790E
Loppupiste: 58,436N 10,611E
Suunta: 309,0°
Kallistuskulma: 46,6°
Tulonopeus: 31,2 km/s
Radiantin R,A,: 12:22 (185,5°)
Radiantin Dekl,: 21,8°
Meteoriparvi: Sporadinen
Meteoroidin rataelementit:
Perihelietäisyys: 0,558 AU
Eksentrisyys: 0,921
Inklinaatio: 20,6°
Nousevan solmun pituus: 354,0°
Perihelin argumentti: 265,1°
Keskianomalia: 357,9°
Epookki: 2026 MAR 14 21:47:32
orbit plot

Ei-interaktiivinen kuvaaja | Interaktiivinen kuvaaja

position vs time
speed and acceleration

Kristiansand (KRI) cam2


preview
Videot:
• Gnomoninen
• Gnomoninen koordinaateilla
• Alkuperäinen
• Alkuperäinen koordinaateilla
Kuvat:
• Gnomoninen
• Gnomoninen koordinaateilla
• Alkuperäinen
• Alkuperäinen koordinaateilla
Tekstitiedostot:
• Havaintoraportti
• Observaatio
• Koordinaatit
• Loki
Kirkkaus

Loten (LOT) cam4


preview
Videot:
• Gnomoninen
• Gnomoninen koordinaateilla
• Alkuperäinen
• Alkuperäinen koordinaateilla
Kuvat:
• Gnomoninen
• Gnomoninen koordinaateilla
• Alkuperäinen
• Alkuperäinen koordinaateilla
Tekstitiedostot:
• Havaintoraportti
• Observaatio
• Koordinaatit
• Loki
Kirkkaus