🇳🇴 🇬🇧 🇩🇪 🇨🇿 🇫🇮

Meteor über Sørreisa 2026-03-16 01:17:00 UTC

KML-Datei  |  Interaktive Karte

Die Karte zeigt die Peilungen für den Meteor. Die helleren Linien zeigen die Richtungen von den Beobachtungsorten beim Erscheinen des Meteors, und die dunkleren Linien, wo er zuletzt gesehen wurde. Der blaue Pfeil zeigt die sichtbare Bahn des Meteors.

static map
height profile
wind profile
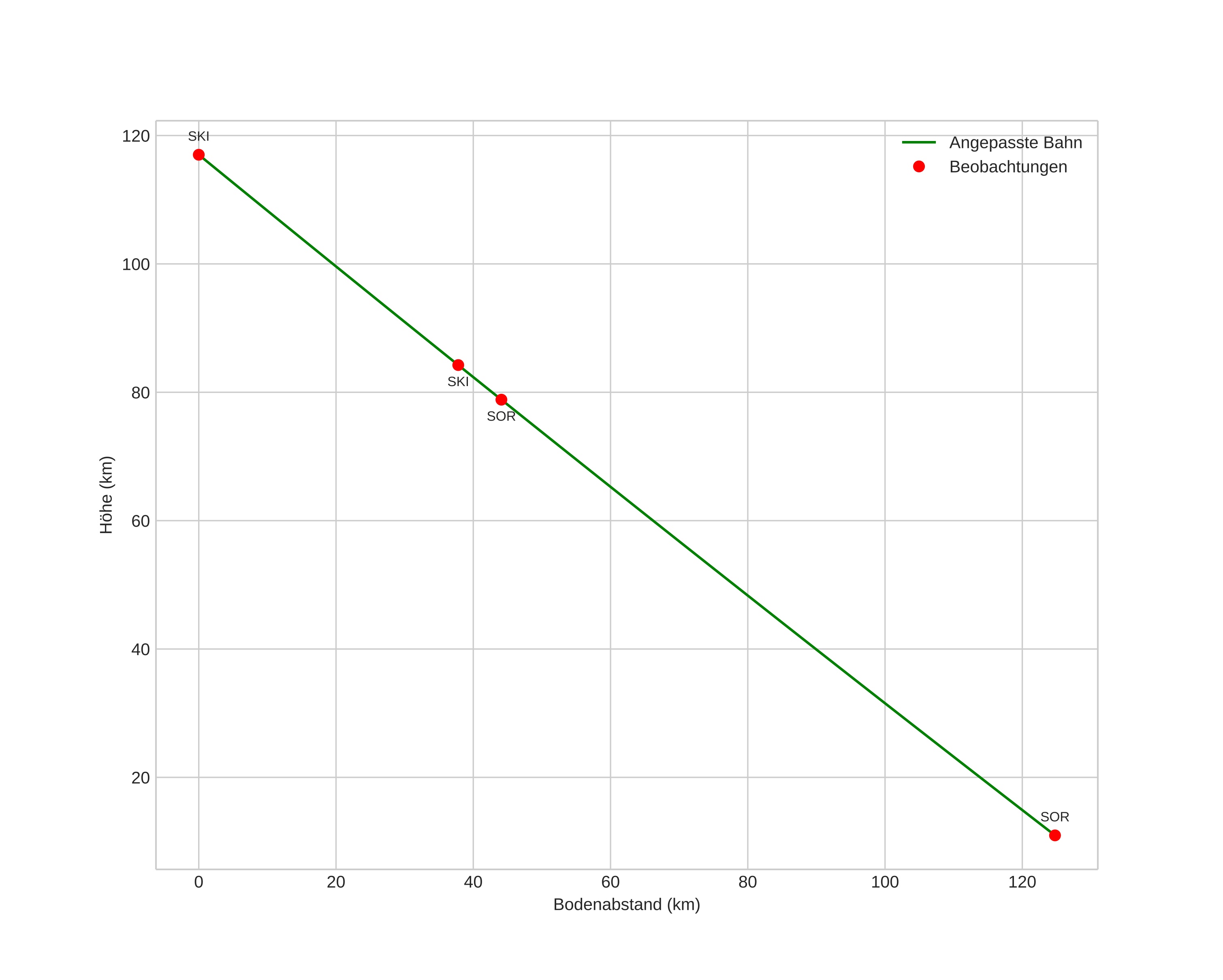
Atmosphärische Bahn des Meteors:
Anfangshöhe: 117,0 km
Endhöhe: 11,0 km
Startposition: 68,680N 15,431E
Endposition: 69,176N 18,230E
Richtung: 62,5°
Neigungswinkel: 40,4°
Eintrittsgeschwindigkeit: 73,0 km/s
Rektaszension des Radianten: 10:30 (157,6°)
Deklination des Radianten: 28,1°
Meteorstrom: sporadisch
Bahnelemente des Meteoroiden:
Periheldistanz: 0,686 AU
Exzentrizität: 5,734
Inklination: 19,6°
Länge des aufsteigenden Knotens: 355,1°
Argument des Perihels: 230,5°
Mittlere Anomalie: -260,0°
Epoche: 2026 MAR 16 01:17:00
orbit plot

Nicht-interaktives Diagramm | Interaktives Diagramm

position vs time
speed and acceleration

Skibotn (SKI) cam5


preview
Videos
• Gnomonisch
• Gnomonisch mit Koordinaten
• Original
• Original mit Koordinaten
Bilder
• Gnomonisch
• Gnomonisch mit Koordinaten
• Original
• Original mit Koordinaten
Textdateien
• Erkennung
• Beobachtung
• Koordinaten
• Protokoll
Helligkeit

Sorreisa (SOR) cam7


preview
Videos
• Gnomonisch
• Gnomonisch mit Koordinaten
• Original
• Original mit Koordinaten
Bilder
• Gnomonisch
• Gnomonisch mit Koordinaten
• Original
• Original mit Koordinaten
Textdateien
• Erkennung
• Beobachtung
• Koordinaten
• Protokoll
Helligkeit