🇳🇴 🇬🇧 🇩🇪 🇨🇿 🇫🇮

Meteor, poloha: Brøstadbotn 2026-03-16 01:33:56 UTC

Soubor KML  |  Interaktivní mapa

Mapa zobrazuje dráhy meteoru. Světlejší čáry ukazují směry od pozorovacích stanic při objevení se meteoru a tmavší čáry, kde byl naposledy viděn. Modrá šipka značí viditelnou dráhu meteoru.

static map
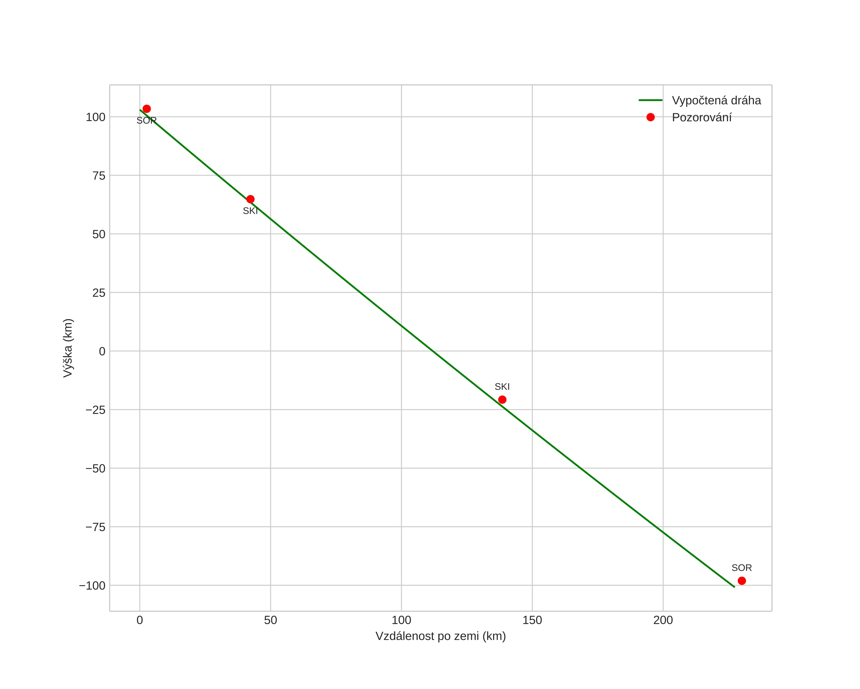
height profile
Atmosférická dráha meteoru:
Počáteční výška: 103,0 km
Konečná výška: -100,9 km
Počáteční poloha: 69,683N 23,236E
Konečná poloha: 69,001N 17,769E
Směr: 253,1°
Sklon: 41,9°
orbit plot

Neinteraktivní graf | Interaktivní graf

position vs time
speed and acceleration