🇳🇴 🇬🇧 🇩🇪 🇨🇿 🇫🇮

Meteor, poloha: Lena 2026-03-17 00:48:12 UTC

Soubor KML  |  Interaktivní mapa

Mapa zobrazuje dráhy meteoru. Světlejší čáry ukazují směry od pozorovacích stanic při objevení se meteoru a tmavší čáry, kde byl naposledy viděn. Modrá šipka značí viditelnou dráhu meteoru.

static map
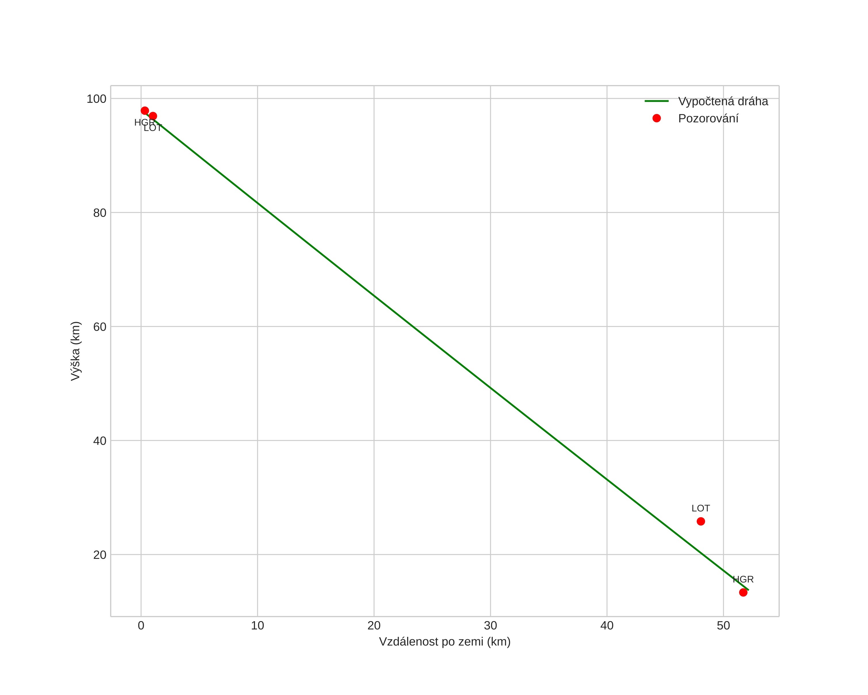
height profile
wind profile
Atmosférická dráha meteoru:
Počáteční výška: 98,0 km
Konečná výška: 13,7 km
Počáteční poloha: 60,368N 11,627E
Konečná poloha: 60,588N 10,786E
Směr: 298,4°
Sklon: 58,2°
Vstupní rychlost: 0,5 km/s
orbit plot

Neinteraktivní graf | Interaktivní graf

position vs time
speed and acceleration