🇳🇴 🇬🇧 🇩🇪 🇨🇿 🇫🇮

Meteor, poloha: Stange 2026-03-17 01:26:40 UTC

Soubor KML  |  Interaktivní mapa

Mapa zobrazuje dráhy meteoru. Světlejší čáry ukazují směry od pozorovacích stanic při objevení se meteoru a tmavší čáry, kde byl naposledy viděn. Modrá šipka značí viditelnou dráhu meteoru.

static map
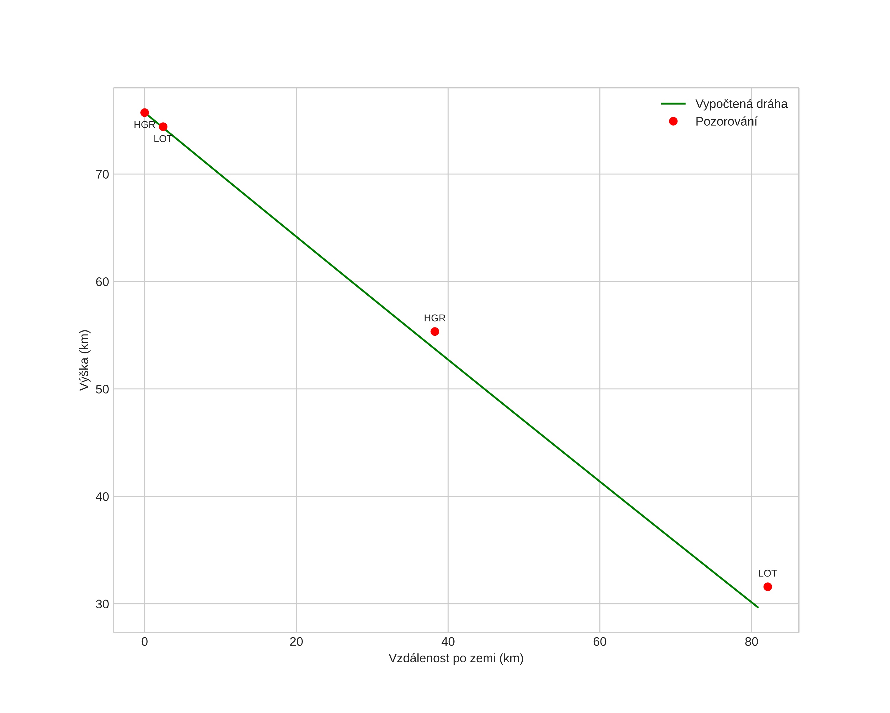
height profile
wind profile
Atmosférická dráha meteoru:
Počáteční výška: 75,7 km
Konečná výška: 29,6 km
Počáteční poloha: 60,415N 12,755E
Konečná poloha: 60,579N 11,315E
Směr: 283,7°
Sklon: 29,7°
orbit plot

Neinteraktivní graf | Interaktivní graf

position vs time
speed and acceleration