🇳🇴 🇬🇧 🇩🇪 🇨🇿 🇫🇮

Meteor, poloha: Ed 2026-03-20 23:10:55 UTC

Soubor KML  |  Interaktivní mapa

Mapa zobrazuje dráhy meteoru. Světlejší čáry ukazují směry od pozorovacích stanic při objevení se meteoru a tmavší čáry, kde byl naposledy viděn. Modrá šipka značí viditelnou dráhu meteoru.

static map
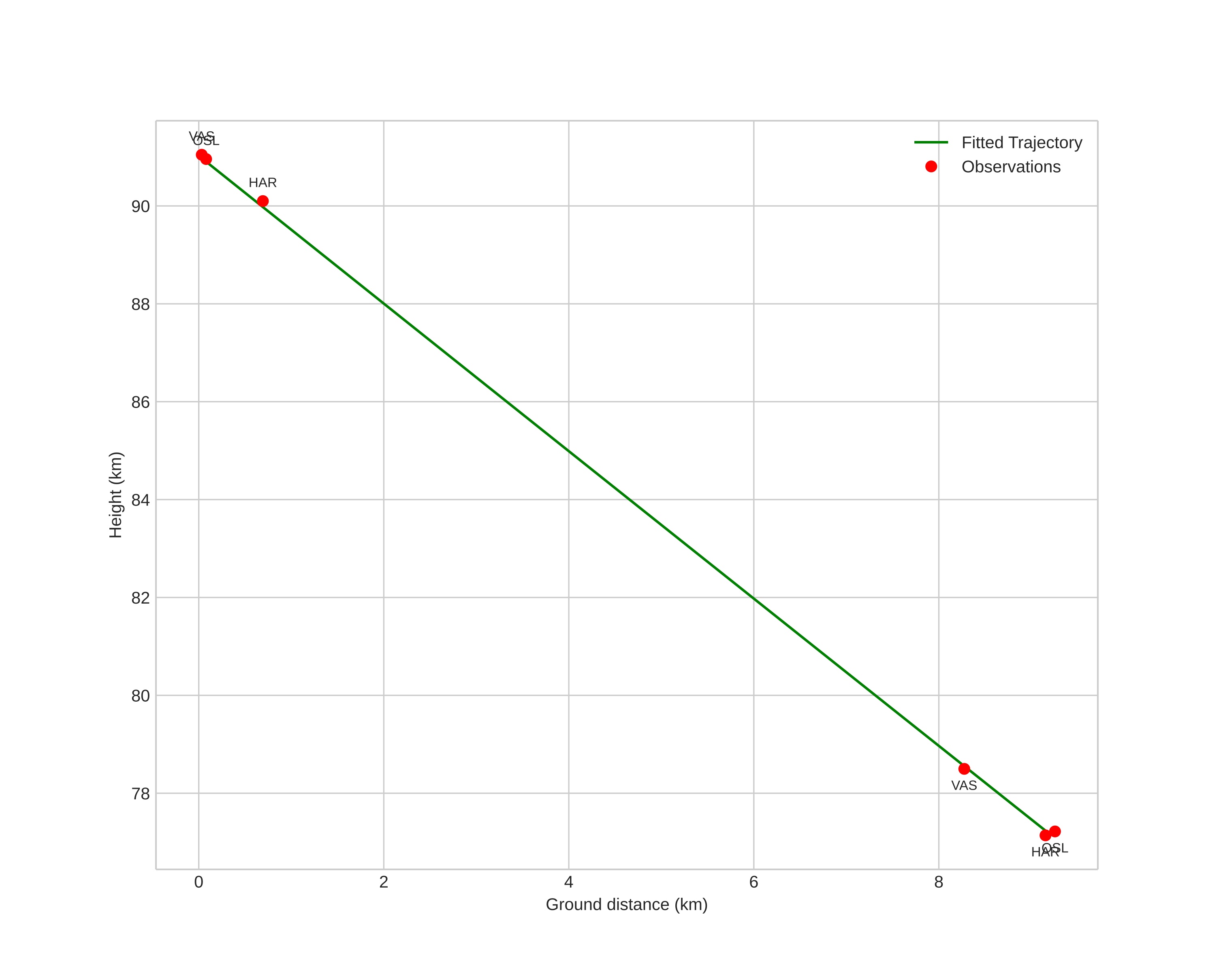
height profile
Meteor's Atmospheric Trajectory:
Start height: 91,0 km
End height: 77,2 km
Start position: 59,021N 11,903E
End position: 59,104N 11,924E
Direction: 7,3°
Inclination angle: 56,3°
Entry speed: 27,0 km/s
Radiant R,A,: 11:29 (172,5°)
Radiant Dec,: 23,9°
Meteor Shower: sporadic
Meteoroid's Orbital Elements:
Perihelion distance: 0,753 AU
Eccentricity: 1,081
Inclination: 12,3°
Long, of Asc, Node: 360,0°
Argument of Perihelion: 238,0°
Mean Anomaly: -1,1°
Epoch: 2026 MAR 20 23:10:55
orbit plot

Neinteraktivní graf | Interaktivní graf

position vs time
speed and acceleration