🇳🇴 🇬🇧 🇩🇪 🇨🇿 🇫🇮

Meteor, poloha: Våler 2026-03-21 01:05:31 UTC

Soubor KML  |  Interaktivní mapa

Mapa zobrazuje dráhy meteoru. Světlejší čáry ukazují směry od pozorovacích stanic při objevení se meteoru a tmavší čáry, kde byl naposledy viděn. Modrá šipka značí viditelnou dráhu meteoru.

static map
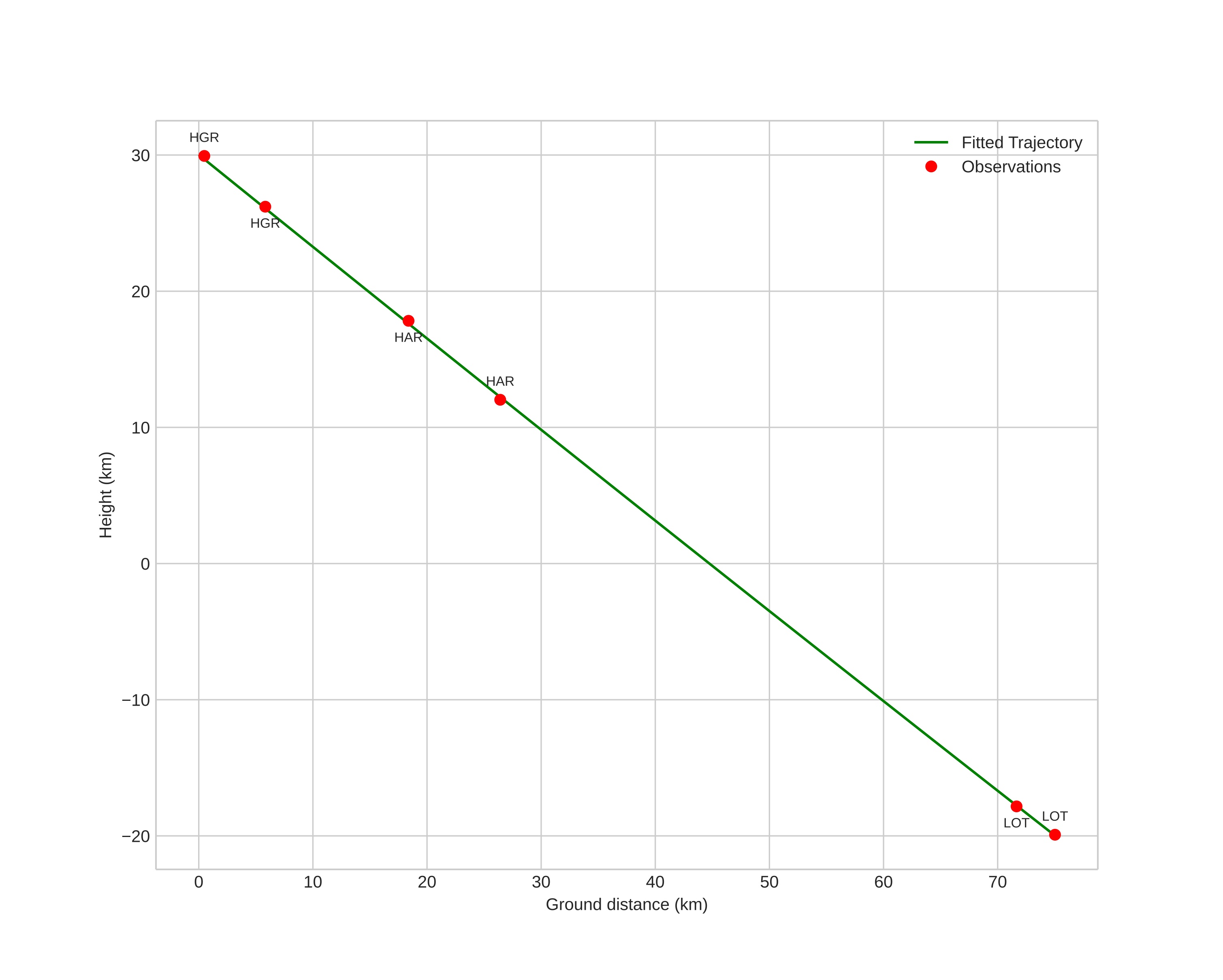
height profile
wind profile
Meteor's Atmospheric Trajectory:
Start height: 30,0 km
End height: -20,0 km
Start position: 60,548N 10,513E
End position: 60,799N 11,791E
Direction: 67,6°
Inclination angle: 33,7°
orbit plot

Neinteraktivní graf | Interaktivní graf

position vs time
speed and acceleration