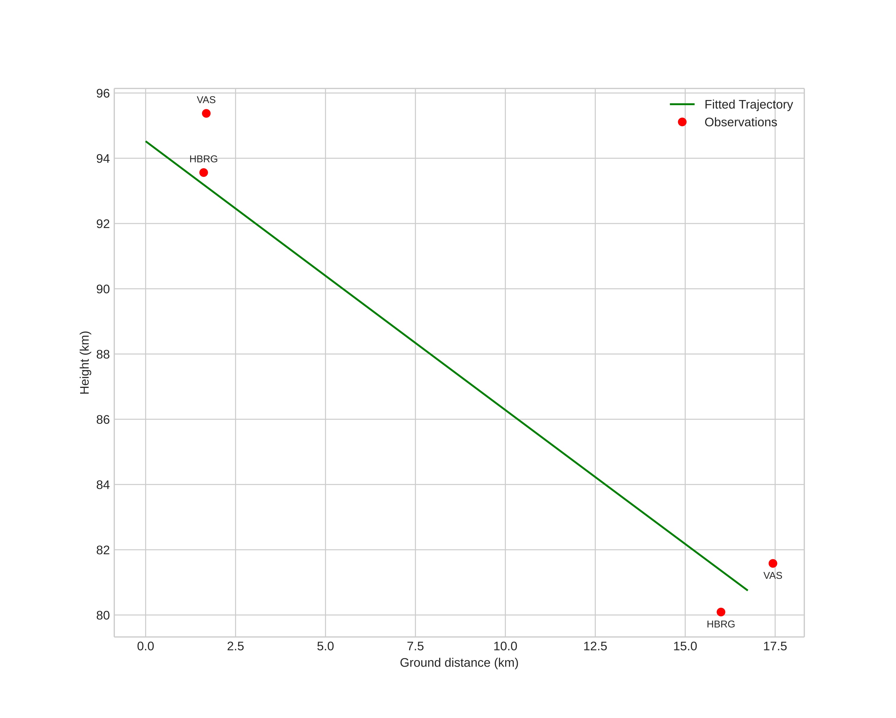
Mapa zobrazuje dráhy meteoru. Světlejší čáry ukazují směry od pozorovacích stanic při objevení se meteoru a tmavší čáry, kde byl naposledy viděn. Modrá šipka značí viditelnou dráhu meteoru.

Meteor's Atmospheric Trajectory:
|
Meteoroid's Orbital Elements:
|


![]() |
![]() |