🇳🇴 🇬🇧 🇩🇪 🇨🇿 🇫🇮

Meteor, poloha: Malung 2026-03-21 02:22:40 UTC

Soubor KML  |  Interaktivní mapa

Mapa zobrazuje dráhy meteoru. Světlejší čáry ukazují směry od pozorovacích stanic při objevení se meteoru a tmavší čáry, kde byl naposledy viděn. Modrá šipka značí viditelnou dráhu meteoru.

static map
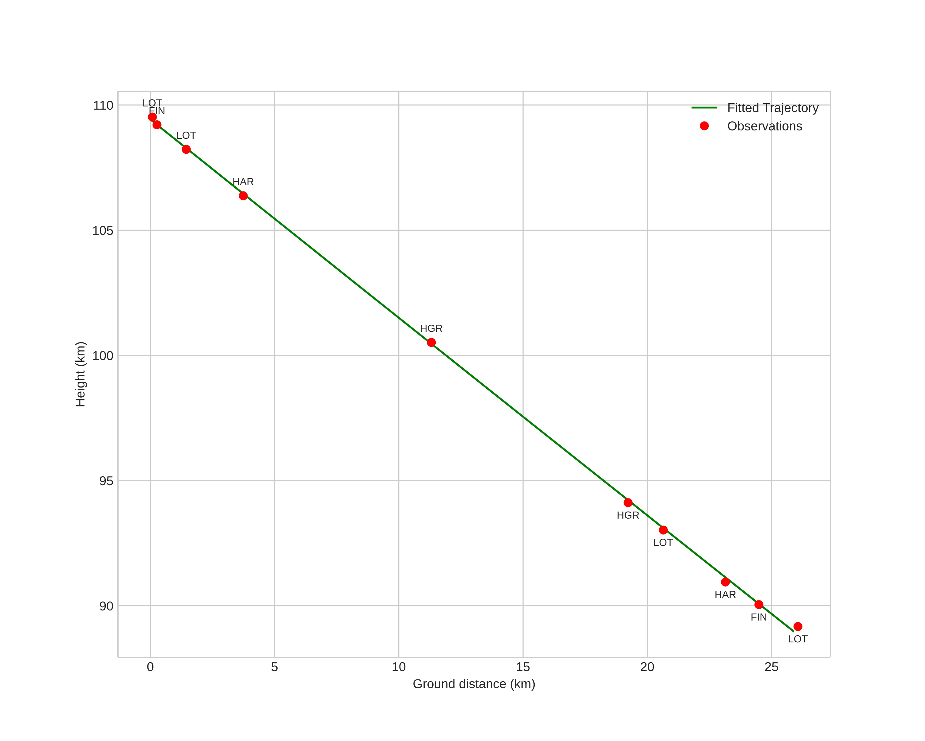
height profile
Meteor's Atmospheric Trajectory:
Start height: 109,4 km
End height: 89,0 km
Start position: 60,636N 14,071E
End position: 60,831N 13,812E
Direction: 327,1°
Inclination angle: 38,2°
Entry speed: 67,3 km/s
Radiant R,A,: 16:55 (253,8°)
Radiant Dec,: 12,1°
Meteor Shower: sporadic
Meteoroid's Orbital Elements:
Perihelion distance: 0,873 AU
Eccentricity: 1,398
Inclination: 120,0°
Long, of Asc, Node: 0,1°
Argument of Perihelion: 218,0°
Mean Anomaly: -6,7°
Epoch: 2026 MAR 21 02:22:40
orbit plot

Neinteraktivní graf | Interaktivní graf

position vs time
speed and acceleration

Finnskogen (FIN) cam7


preview
Videos:
Gnomonic
Gnomonic with coordinates
Original
Original with coordinates
Images:
Gnomonic
Gnomonic with coordinates
Original
Original with coordinates
Text Files:
Detection
Observation
Coordinates
Log
Brightness