🇳🇴 🇬🇧 🇩🇪 🇨🇿 🇫🇮

Meteor Malungin yllä 2026-03-21 02:22:40 UTC

KML-tiedosto  |  Interaktiivinen kartta

Kartta näyttää meteorin suuntahavainnot. Vaaleammat viivat näyttävät suunnat havaintoasemilta meteorin ilmestyessä, ja tummemmat viivat näyttävät, missä se viimeksi nähtiin. Sininen nuoli näyttää meteorin näkyvän lennon.

static map
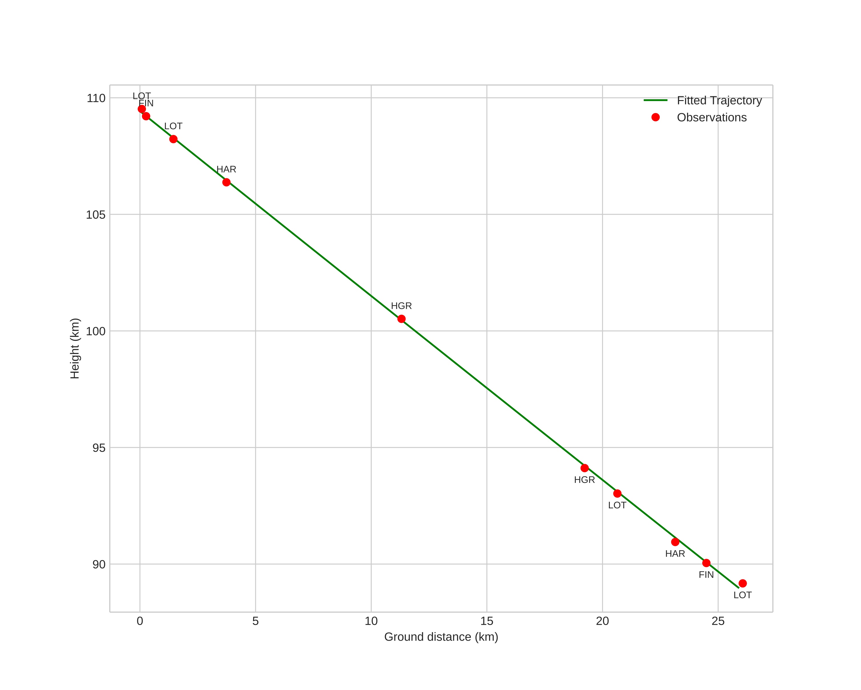
height profile
Meteor's Atmospheric Trajectory:
Start height: 109,4 km
End height: 89,0 km
Start position: 60,636N 14,071E
End position: 60,831N 13,812E
Direction: 327,1°
Inclination angle: 38,2°
Entry speed: 67,3 km/s
Radiant R,A,: 16:55 (253,8°)
Radiant Dec,: 12,1°
Meteor Shower: sporadic
Meteoroid's Orbital Elements:
Perihelion distance: 0,873 AU
Eccentricity: 1,398
Inclination: 120,0°
Long, of Asc, Node: 0,1°
Argument of Perihelion: 218,0°
Mean Anomaly: -6,7°
Epoch: 2026 MAR 21 02:22:40
orbit plot

Ei-interaktiivinen kuvaaja | Interaktiivinen kuvaaja

position vs time
speed and acceleration

Finnskogen (FIN) cam7


preview
Videos:
• Gnomonic
• Gnomonic with coordinates
• Original
• Original with coordinates
Images:
• Gnomonic
• Gnomonic with coordinates
• Original
• Original with coordinates
Text Files:
• Detection
• Observation
• Coordinates
• Log
Brightness

Hagar (HGR) cam3


preview
Videos:
• Gnomonic
• Gnomonic with coordinates
• Original
• Original with coordinates
Images:
• Gnomonic
• Gnomonic with coordinates
• Original
• Original with coordinates
Text Files:
• Detection
• Observation
• Coordinates
• Log
Brightness

Harestua (HAR) cam2


preview
Videos:
• Gnomonic
• Gnomonic with coordinates
• Original
• Original with coordinates
Images:
• Gnomonic
• Gnomonic with coordinates
• Original
• Original with coordinates
Text Files:
• Detection
• Observation
• Coordinates
• Log
Brightness

Loten (LOT) cam2


preview
Videos:
• Gnomonic
• Gnomonic with coordinates
• Original
• Original with coordinates
Images:
• Gnomonic
• Gnomonic with coordinates
• Original
• Original with coordinates
Text Files:
• Detection
• Observation
• Coordinates
• Log
Brightness

Loten (LOT) cam3


preview
Videos:
• Gnomonic
• Gnomonic with coordinates
• Original
• Original with coordinates
Images:
• Gnomonic
• Gnomonic with coordinates
• Original
• Original with coordinates
Text Files:
• Detection
• Observation
• Coordinates
• Log
Brightness