🇳🇴 🇬🇧 🇩🇪 🇨🇿 🇫🇮

Meteor, poloha: Hallstahammar 2026-03-21 21:50:56 UTC

Soubor KML  |  Interaktivní mapa

Mapa zobrazuje dráhy meteoru. Světlejší čáry ukazují směry od pozorovacích stanic při objevení se meteoru a tmavší čáry, kde byl naposledy viděn. Modrá šipka značí viditelnou dráhu meteoru.

static map
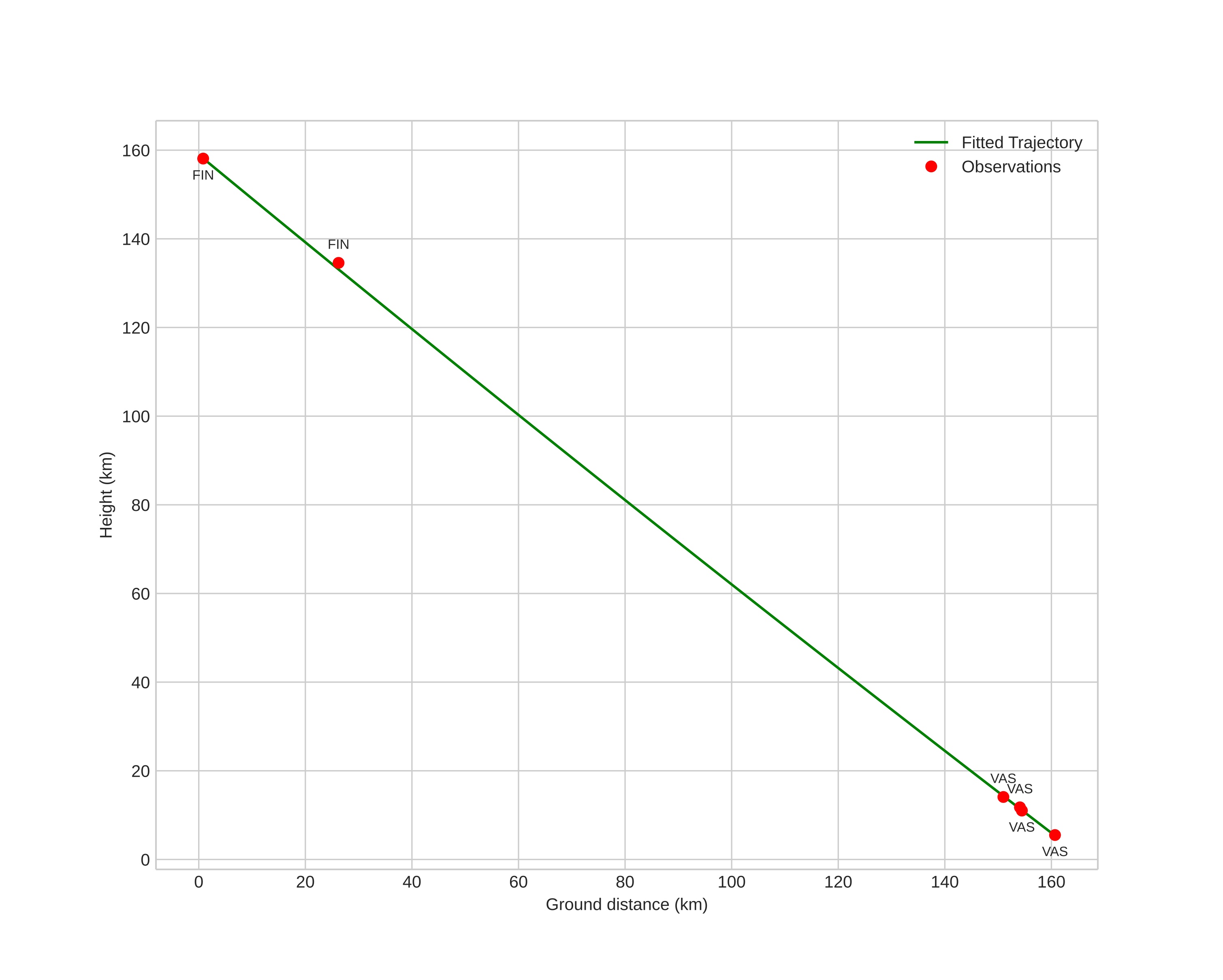
height profile
wind profile
Meteor's Atmospheric Trajectory:
Start height: 159,0 km
End height: 5,4 km
Start position: 58,353N 15,129E
End position: 59,659N 16,325E
Direction: 24,7°
Inclination angle: 43,7°
Entry speed: 10,1 km/s
position vs time
speed and acceleration

Finnskogen (FIN) cam3


preview
Videos:
Gnomonic
Gnomonic with coordinates
Original
Original with coordinates
Images:
Gnomonic
Gnomonic with coordinates
Original
Original with coordinates
Text Files:
Detection
Observation
Coordinates
Log
Brightness