🇳🇴 🇬🇧 🇩🇪 🇨🇿 🇫🇮

Meteor, poloha: Siljan 2026-03-21 23:09:36 UTC

Soubor KML  |  Interaktivní mapa

Mapa zobrazuje dráhy meteoru. Světlejší čáry ukazují směry od pozorovacích stanic při objevení se meteoru a tmavší čáry, kde byl naposledy viděn. Modrá šipka značí viditelnou dráhu meteoru.

static map
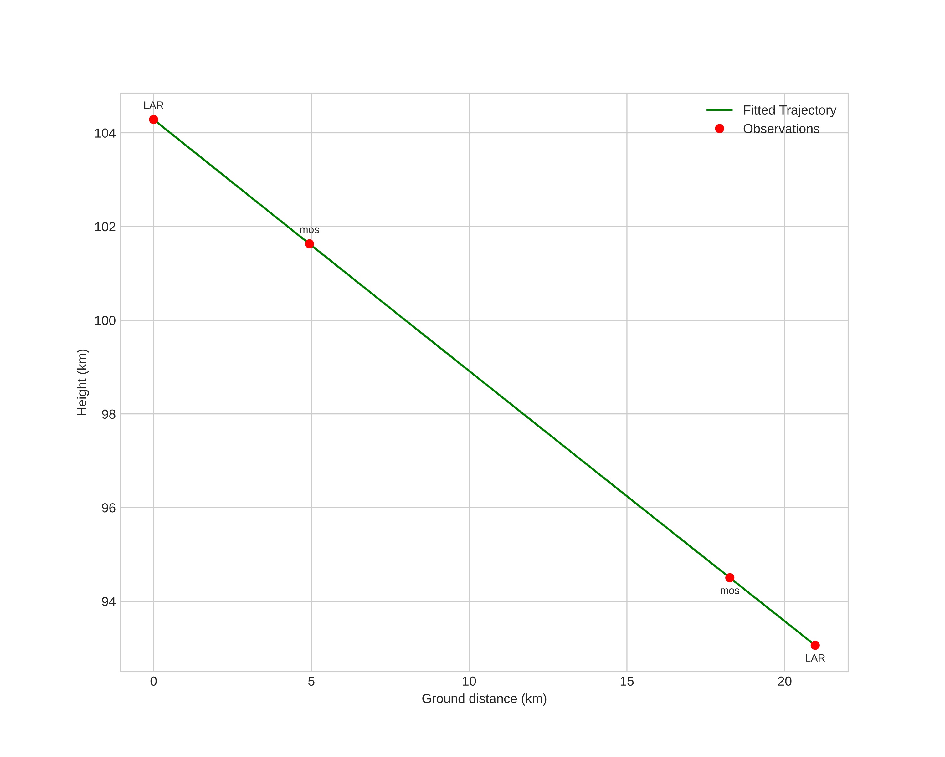
height profile
Meteor's Atmospheric Trajectory:
Start height: 104,3 km
End height: 93,1 km
Start position: 59,544N 9,857E
End position: 59,425N 9,569E
Direction: 230,9°
Inclination angle: 28,1°
Entry speed: 44,6 km/s
Radiant R,A,: 19:06 (286,7°)
Radiant Dec,: 42,7°
Meteor Shower: sporadic
Meteoroid's Orbital Elements:
Perihelion distance: 0,948 AU
Eccentricity: 0,997
Inclination: 70,8°
Long, of Asc, Node: 1,0°
Argument of Perihelion: 154,5°
Mean Anomaly: 0,0°
Epoch: 2026 MAR 21 23:09:36
orbit plot

Neinteraktivní graf | Interaktivní graf

position vs time
speed and acceleration