🇳🇴 🇬🇧 🇩🇪 🇨🇿 🇫🇮

Meteor, poloha: Lærdalsøyri 2026-03-23 01:41:58 UTC

Soubor KML  |  Interaktivní mapa

Mapa zobrazuje dráhy meteoru. Světlejší čáry ukazují směry od pozorovacích stanic při objevení se meteoru a tmavší čáry, kde byl naposledy viděn. Modrá šipka značí viditelnou dráhu meteoru.

static map
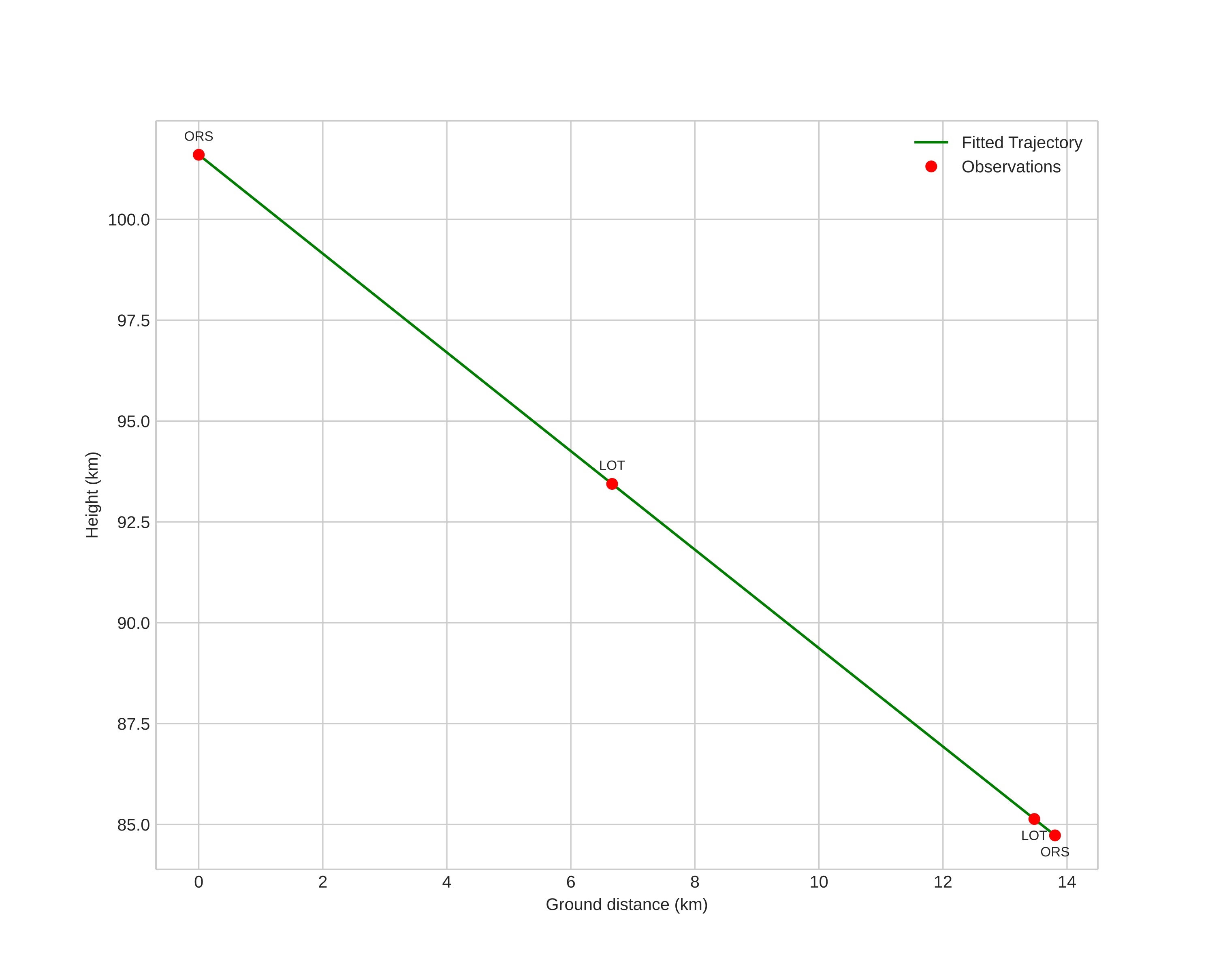
height profile
Meteor's Atmospheric Trajectory:
Start height: 101,6 km
End height: 84,7 km
Start position: 60,969N 7,854E
End position: 60,960N 7,599E
Direction: 266,0°
Inclination angle: 50,7°
Entry speed: 45,3 km/s
Radiant R,A,: 18:23 (275,8°)
Radiant Dec,: 43,9°
Meteor Shower: sporadic
Meteoroid's Orbital Elements:
Perihelion distance: 0,992 AU
Eccentricity: 1,033
Inclination: 72,0°
Long, of Asc, Node: 2,1°
Argument of Perihelion: 171,9°
Mean Anomaly: 0,0°
Epoch: 2026 MAR 23 01:41:58
orbit plot

Neinteraktivní graf | Interaktivní graf

position vs time
speed and acceleration