🇳🇴 🇬🇧 🇩🇪 🇨🇿 🇫🇮

Meteor, poloha: Rødberg 2026-03-24 00:52:43 UTC

Soubor KML  |  Interaktivní mapa

Mapa zobrazuje dráhy meteoru. Světlejší čáry ukazují směry od pozorovacích stanic při objevení se meteoru a tmavší čáry, kde byl naposledy viděn. Modrá šipka značí viditelnou dráhu meteoru.

static map
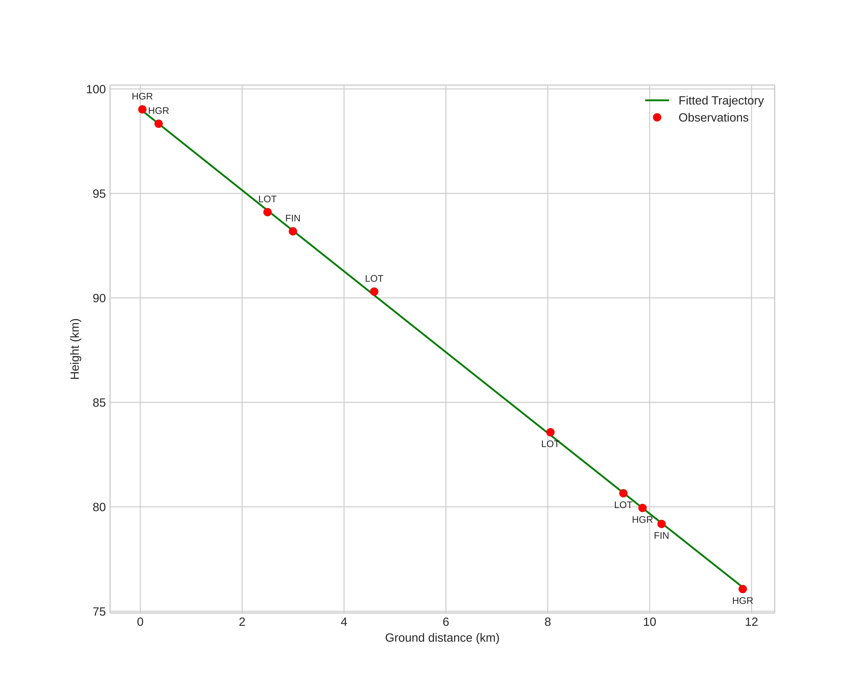
height profile
Meteor's Atmospheric Trajectory:
Start height: 99,0 km
End height: 76,1 km
Start position: 60,240N 8,796E
End position: 60,287N 8,603E
Direction: 296,2°
Inclination angle: 62,6°
Entry speed: 48,0 km/s
Radiant R,A,: 15:47 (236,9°)
Radiant Dec,: 41,8°
Meteor Shower: sporadic
Meteoroid's Orbital Elements:
Perihelion distance: 0,858 AU
Eccentricity: 1,455
Inclination: 67,5°
Long, of Asc, Node: 3,0°
Argument of Perihelion: 220,1°
Mean Anomaly: -8,7°
Epoch: 2026 MAR 24 00:52:43
orbit plot

Neinteraktivní graf | Interaktivní graf

position vs time
speed and acceleration

Finnskogen (FIN) cam5


preview
Videos:
Gnomonic
Gnomonic with coordinates
Original
Original with coordinates
Images:
Gnomonic
Gnomonic with coordinates
Original
Original with coordinates
Text Files:
Detection
Observation
Coordinates
Log
Brightness