🇳🇴 🇬🇧 🇩🇪 🇨🇿 🇫🇮

Meteor über Rødberg 2026-03-24 00:52:43 UTC

KML-Datei  |  Interaktive Karte

Die Karte zeigt die Peilungen für den Meteor. Die helleren Linien zeigen die Richtungen von den Beobachtungsorten beim Erscheinen des Meteors, und die dunkleren Linien, wo er zuletzt gesehen wurde. Der blaue Pfeil zeigt die sichtbare Bahn des Meteors.

static map
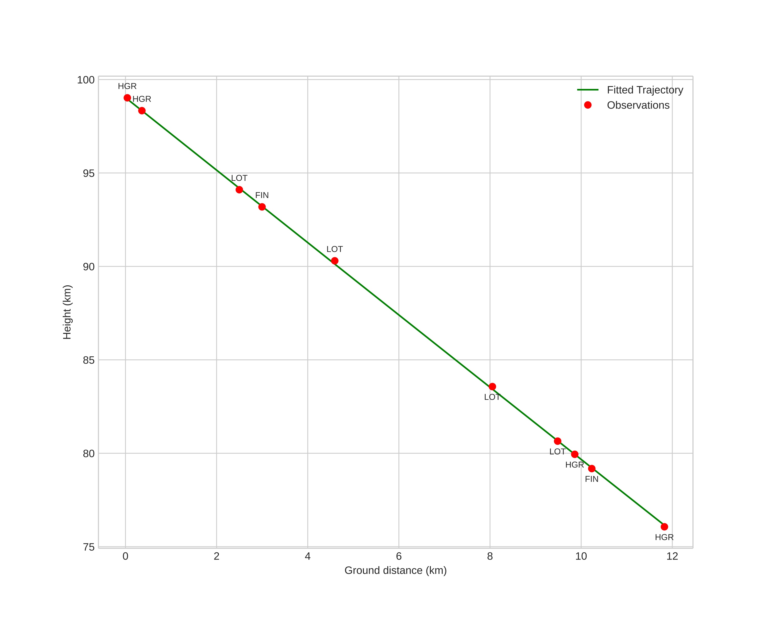
height profile
Meteor's Atmospheric Trajectory:
Start height: 99,0 km
End height: 76,1 km
Start position: 60,240N 8,796E
End position: 60,287N 8,603E
Direction: 296,2°
Inclination angle: 62,6°
Entry speed: 48,0 km/s
Radiant R,A,: 15:47 (236,9°)
Radiant Dec,: 41,8°
Meteor Shower: sporadic
Meteoroid's Orbital Elements:
Perihelion distance: 0,858 AU
Eccentricity: 1,455
Inclination: 67,5°
Long, of Asc, Node: 3,0°
Argument of Perihelion: 220,1°
Mean Anomaly: -8,7°
Epoch: 2026 MAR 24 00:52:43
orbit plot

Nicht-interaktives Diagramm | Interaktives Diagramm

position vs time
speed and acceleration

Finnskogen (FIN) cam5


preview
Videos:
• Gnomonic
• Gnomonic with coordinates
• Original
• Original with coordinates
Images:
• Gnomonic
• Gnomonic with coordinates
• Original
• Original with coordinates
Text Files:
• Detection
• Observation
• Coordinates
• Log
Brightness

Hagar (HGR) cam1


preview
Videos:
• Gnomonic
• Gnomonic with coordinates
• Original
• Original with coordinates
Images:
• Gnomonic
• Gnomonic with coordinates
• Original
• Original with coordinates
Text Files:
• Detection
• Observation
• Coordinates
• Log
Brightness

Hagar (HGR) cam5


preview
Videos:
• Gnomonic
• Gnomonic with coordinates
• Original
• Original with coordinates
Images:
• Gnomonic
• Gnomonic with coordinates
• Original
• Original with coordinates
Text Files:
• Detection
• Observation
• Coordinates
• Log
Brightness

Loten (LOT) cam4


preview
Videos:
• Gnomonic
• Gnomonic with coordinates
• Original
• Original with coordinates
Images:
• Gnomonic
• Gnomonic with coordinates
• Original
• Original with coordinates
Text Files:
• Detection
• Observation
• Coordinates
• Log
Brightness

Loten (LOT) cam5


preview
Videos:
• Gnomonic
• Gnomonic with coordinates
• Original
• Original with coordinates
Images:
• Gnomonic
• Gnomonic with coordinates
• Original
• Original with coordinates
Text Files:
• Detection
• Observation
• Coordinates
• Log
Brightness