🇳🇴 🇬🇧 🇩🇪 🇨🇿 🇫🇮

Meteor over Sørreisa 2026-03-24 23:55:55 UTC

KML-fil  |  Interaktivt kart

Kartet viser peilingene for meteoren. De lysere linjene viser retningene fra observasjonsstedene for meteorens tilsynekomst, og de mørkere linjene viser hvor den sist kunne sees. Den blå pila viser meteorens synlige ferd.

static map
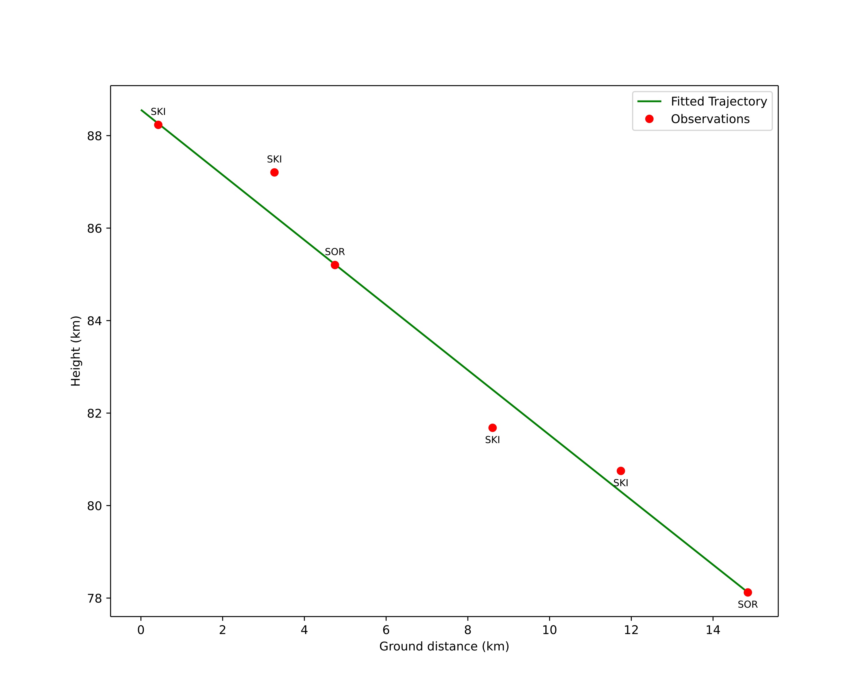
height profile
Meteor's Atmospheric Trajectory:
Start height: 88,6 km
End height: 78,1 km
Start position: 69,630N 18,437E
End position: 69,510N 18,274E
Direction: 205,4°
Inclination angle: 35,3°
Entry speed: 20,3 km/s
Radiant R,A,: 23:05 (346,5°)
Radiant Dec,: 47,9°
Meteor Shower: sporadic
Meteoroid's Orbital Elements:
Perihelion distance: 0,844 AU
Eccentricity: 0,543
Inclination: 21,7°
Long, of Asc, Node: 4,0°
Argument of Perihelion: 124,3°
Mean Anomaly: 15,6°
Epoch: 2026 MAR 24 23:55:55
orbit plot

Ikke-interaktivt plott | Interaktivt plott

position vs time
speed and acceleration

Skibotn (SKI) cam5


preview
Videos:
• Gnomonic
• Gnomonic with coordinates
• Original
• Original with coordinates
Images:
• Gnomonic
• Gnomonic with coordinates
• Original
• Original with coordinates
Text Files:
• Detection
• Observation
• Coordinates
• Log
Brightness

Skibotn (SKI) cam6


preview
Videos:
• Gnomonic
• Gnomonic with coordinates
• Original
• Original with coordinates
Images:
• Gnomonic
• Gnomonic with coordinates
• Original
• Original with coordinates
Text Files:
• Detection
• Observation
• Coordinates
• Log
Brightness

Sorreisa (SOR) cam6


preview
Videos:
• Gnomonic
• Gnomonic with coordinates
• Original
• Original with coordinates
Images:
• Gnomonic
• Gnomonic with coordinates
• Original
• Original with coordinates
Text Files:
• Detection
• Observation
• Coordinates
• Log
Brightness