🇳🇴 🇬🇧 🇩🇪 🇨🇿 🇫🇮

Meteor, poloha: Kongsberg 2026-03-25 22:26:54 UTC

Soubor KML  |  Interaktivní mapa

Mapa zobrazuje dráhy meteoru. Světlejší čáry ukazují směry od pozorovacích stanic při objevení se meteoru a tmavší čáry, kde byl naposledy viděn. Modrá šipka značí viditelnou dráhu meteoru.

static map
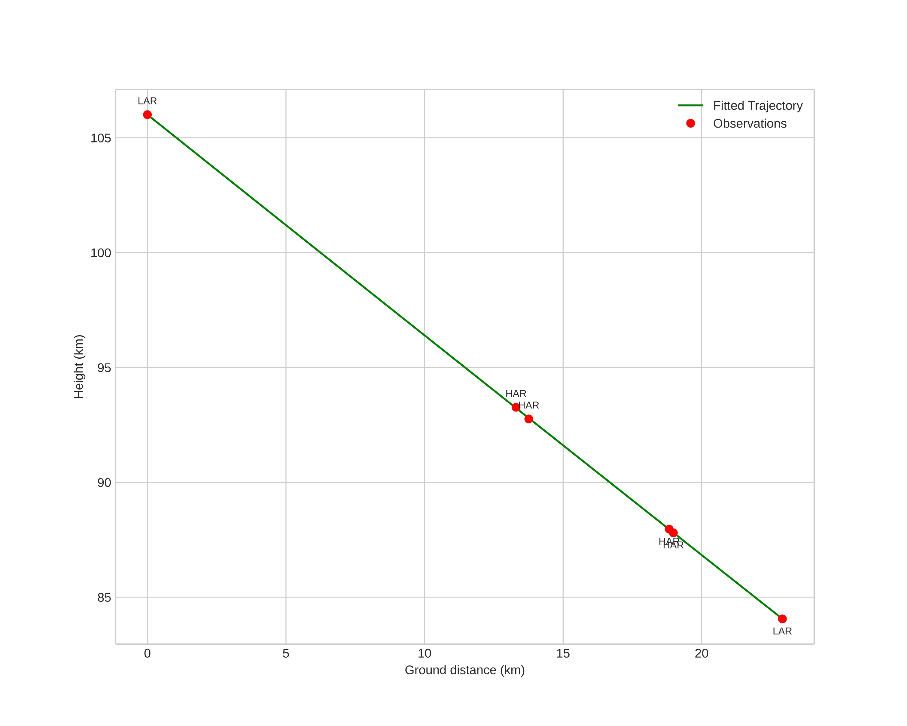
height profile
wind profile
Meteor's Atmospheric Trajectory:
Start height: 106,0 km
End height: 84,1 km
Start position: 59,581N 9,972E
End position: 59,550N 9,570E
Direction: 261,7°
Inclination angle: 43,7°
Entry speed: 43,6 km/s
Radiant R,A,: 16:01 (240,3°)
Radiant Dec,: 40,0°
Meteor Shower: sporadic
Meteoroid's Orbital Elements:
Perihelion distance: 0,850 AU
Eccentricity: 1,055
Inclination: 65,5°
Long, of Asc, Node: 4,9°
Argument of Perihelion: 224,5°
Mean Anomaly: -0,4°
Epoch: 2026 MAR 25 22:26:54
orbit plot

Neinteraktivní graf | Interaktivní graf

position vs time
speed and acceleration