🇳🇴 🇬🇧 🇩🇪 🇨🇿 🇫🇮

Meteor over Notodden 2026-03-25 22:47:35 UTC

KML-fil  |  Interaktivt kart

Kartet viser peilingene for meteoren. De lysere linjene viser retningene fra observasjonsstedene for meteorens tilsynekomst, og de mørkere linjene viser hvor den sist kunne sees. Den blå pila viser meteorens synlige ferd.

static map
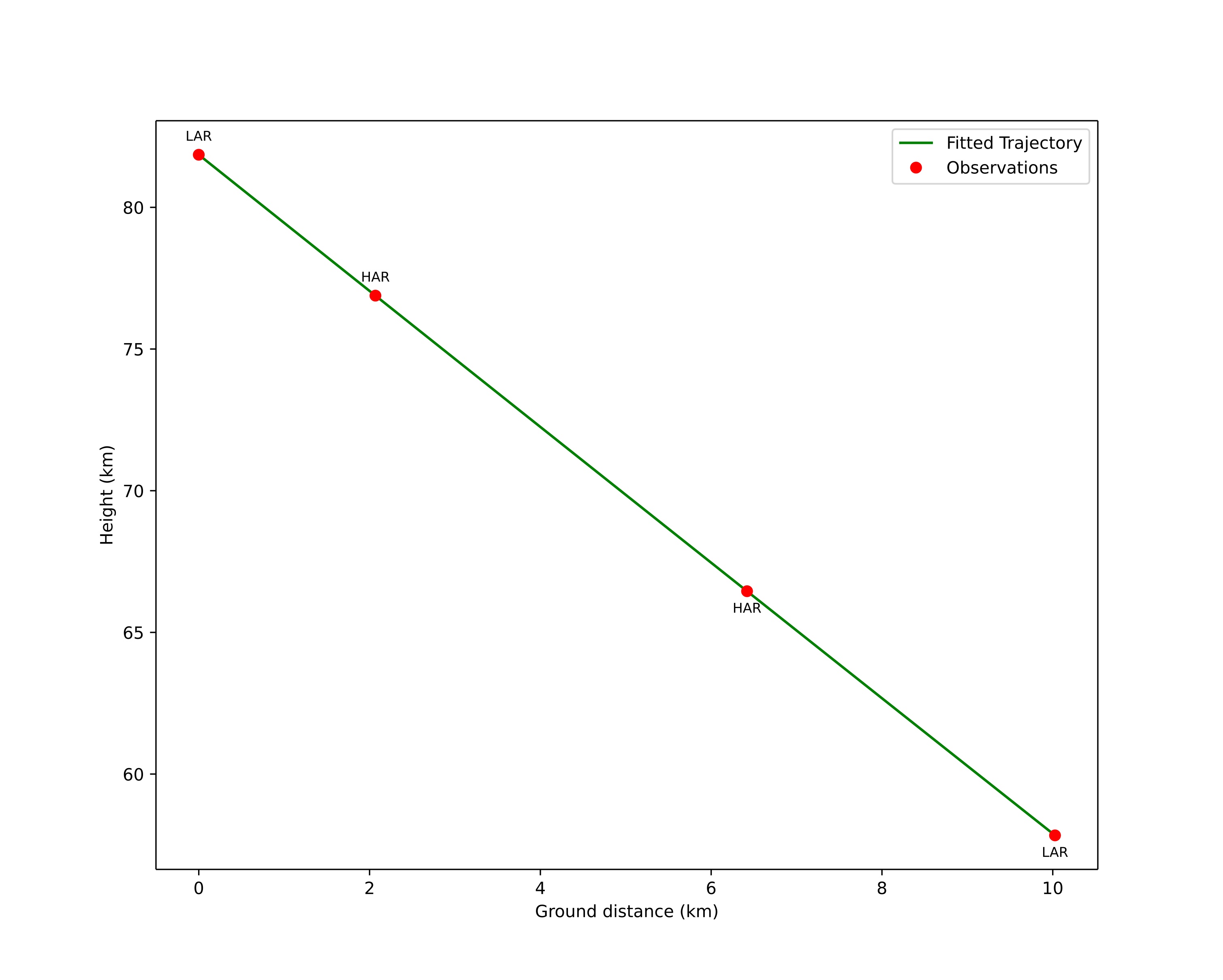
height profile
Meteor's Atmospheric Trajectory:
Start height: 81,9 km
End height: 57,8 km
Start position: 59,651N 9,282E
End position: 59,607N 9,439E
Direction: 118,5°
Inclination angle: 67,4°
Entry speed: 14,0 km/s
Radiant R,A,: 07:36 (114,1°)
Radiant Dec,: 60,0°
Meteor Shower: sporadic
Meteoroid's Orbital Elements:
Perihelion distance: 0,997 AU
Eccentricity: 0,532
Inclination: 8,2°
Long, of Asc, Node: 4,9°
Argument of Perihelion: 183,1°
Mean Anomaly: 359,2°
Epoch: 2026 MAR 25 22:47:35
orbit plot

Ikke-interaktivt plott | Interaktivt plott

position vs time
speed and acceleration

Harestua (HAR) cam4


preview
Videos:
• Gnomonic
• Gnomonic with coordinates
• Original
• Original with coordinates
Images:
• Gnomonic
• Gnomonic with coordinates
• Original
• Original with coordinates
Text Files:
• Detection
• Observation
• Coordinates
• Log
Brightness

Larvik (LAR) cam6


preview
Videos:
• Gnomonic
• Gnomonic with coordinates
• Original
• Original with coordinates
Images:
• Gnomonic
• Gnomonic with coordinates
• Original
• Original with coordinates
Text Files:
• Detection
• Observation
• Coordinates
• Log
Brightness