🇳🇴 🇬🇧 🇩🇪 🇨🇿 🇫🇮

Meteor, poloha: Notodden 2026-03-25 22:47:35 UTC

Soubor KML  |  Interaktivní mapa

Mapa zobrazuje dráhy meteoru. Světlejší čáry ukazují směry od pozorovacích stanic při objevení se meteoru a tmavší čáry, kde byl naposledy viděn. Modrá šipka značí viditelnou dráhu meteoru.

static map
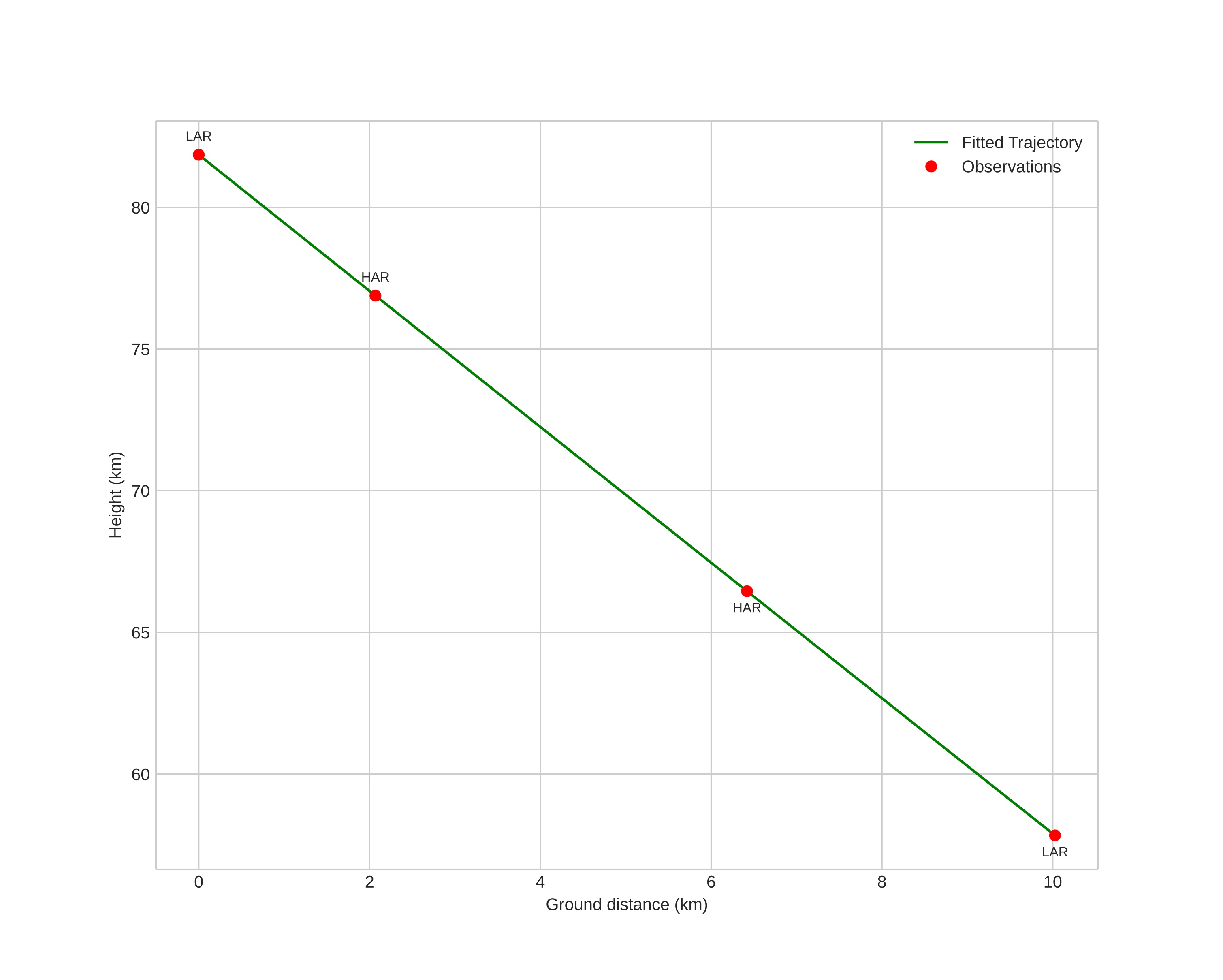
height profile
Meteor's Atmospheric Trajectory:
Start height: 81,9 km
End height: 57,8 km
Start position: 59,651N 9,282E
End position: 59,607N 9,439E
Direction: 118,5°
Inclination angle: 67,4°
Entry speed: 14,0 km/s
Radiant R,A,: 07:36 (114,1°)
Radiant Dec,: 60,0°
Meteor Shower: sporadic
Meteoroid's Orbital Elements:
Perihelion distance: 0,997 AU
Eccentricity: 0,532
Inclination: 8,2°
Long, of Asc, Node: 4,9°
Argument of Perihelion: 183,1°
Mean Anomaly: 359,2°
Epoch: 2026 MAR 25 22:47:35
orbit plot

Neinteraktivní graf | Interaktivní graf

position vs time
speed and acceleration