🇳🇴 🇬🇧 🇩🇪 🇨🇿 🇫🇮

Meteor, poloha: Rødberg 2026-03-26 21:58:18 UTC

Soubor KML  |  Interaktivní mapa

Mapa zobrazuje dráhy meteoru. Světlejší čáry ukazují směry od pozorovacích stanic při objevení se meteoru a tmavší čáry, kde byl naposledy viděn. Modrá šipka značí viditelnou dráhu meteoru.

static map
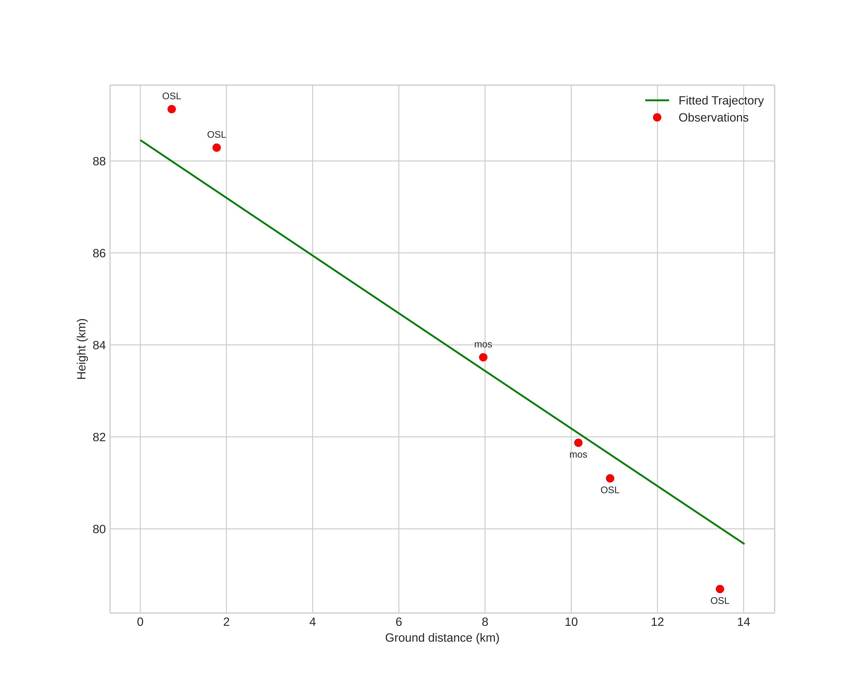
height profile
Meteor's Atmospheric Trajectory:
Start height: 88,5 km
End height: 79,7 km
Start position: 59,926N 9,025E
End position: 60,052N 9,047E
Direction: 5,0°
Inclination angle: 32,1°
Entry speed: 28,8 km/s
Radiant R,A,: 10:30 (157,7°)
Radiant Dec,: -0,3°
Meteor Shower: sporadic
Meteoroid's Orbital Elements:
Perihelion distance: 0,799 AU
Eccentricity: 1,446
Inclination: 5,7°
Long, of Asc, Node: 185,9°
Argument of Perihelion: 48,5°
Mean Anomaly: -10,8°
Epoch: 2026 MAR 26 21:58:18
orbit plot

Neinteraktivní graf | Interaktivní graf

position vs time
speed and acceleration