Kartet viser peilingene for meteoren. De lysere linjene viser retningene fra observasjonsstedene for meteorens tilsynekomst, og de mørkere linjene viser hvor den sist kunne sees. Den blå pila viser meteorens synlige ferd.

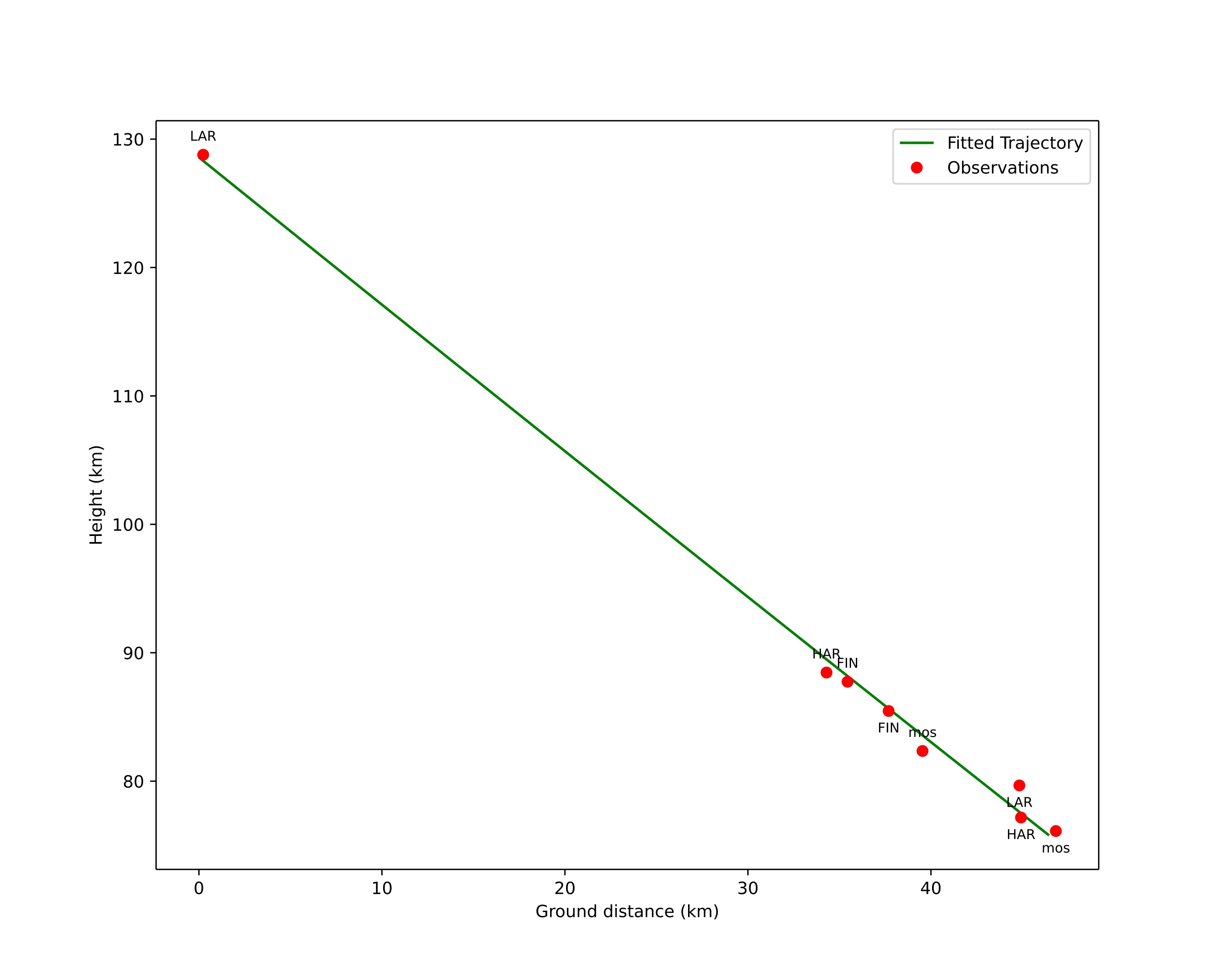
Meteor's Atmospheric Trajectory:
|
Meteoroid's Orbital Elements:
|


![]() |
![]() |
![]() |
![]() |
![]() |
![]() |
![]() |
![]() |