🇳🇴 🇬🇧 🇩🇪 🇨🇿 🇫🇮

Meteor, poloha: Mysen 2026-03-26 23:26:39 UTC

Soubor KML  |  Interaktivní mapa

Mapa zobrazuje dráhy meteoru. Světlejší čáry ukazují směry od pozorovacích stanic při objevení se meteoru a tmavší čáry, kde byl naposledy viděn. Modrá šipka značí viditelnou dráhu meteoru.

static map
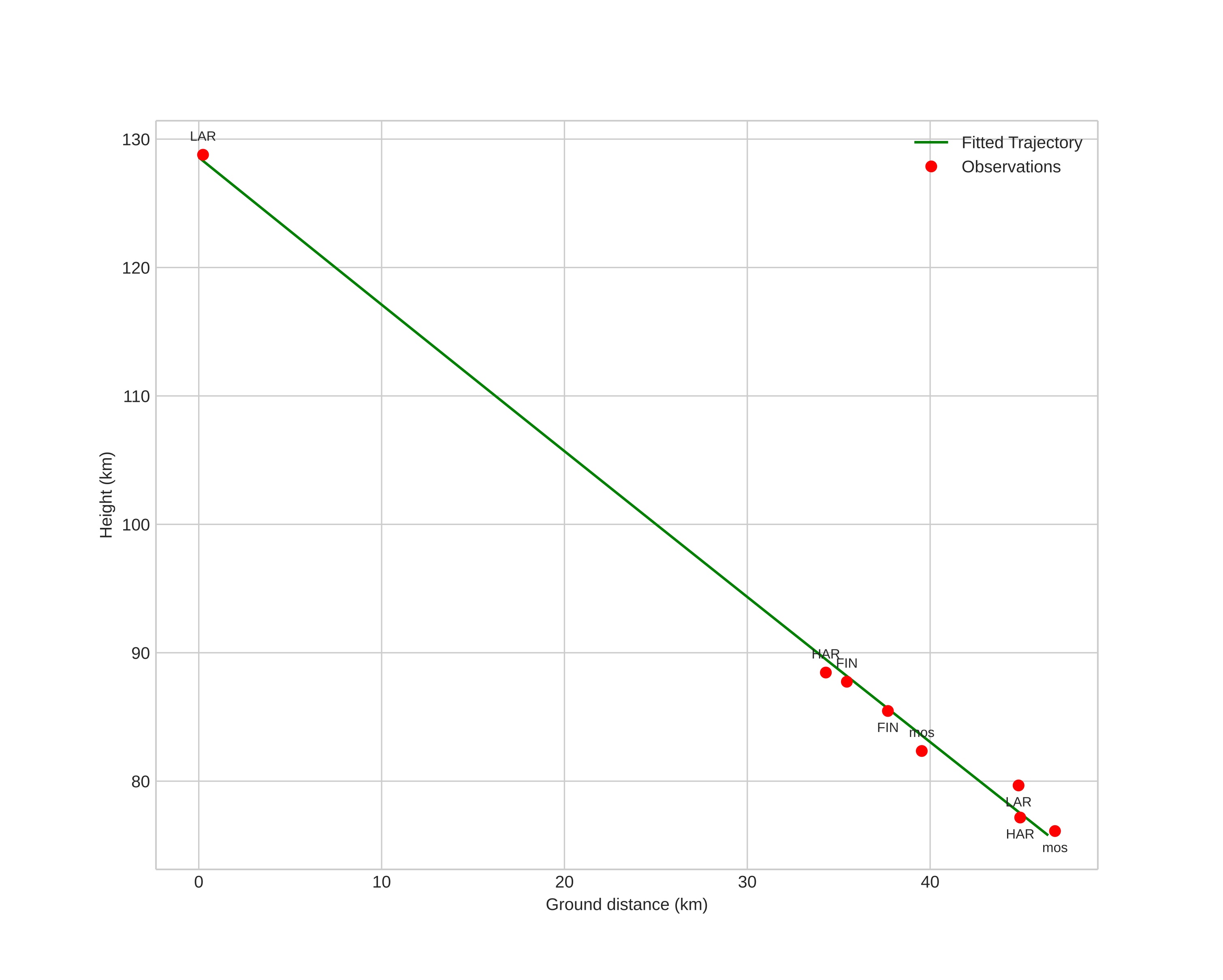
height profile
Meteor's Atmospheric Trajectory:
Start height: 128,6 km
End height: 75,8 km
Start position: 59,936N 11,550E
End position: 59,522N 11,444E
Direction: 187,4°
Inclination angle: 48,7°
Entry speed: 24,2 km/s
Radiant R,A,: 23:14 (348,6°)
Radiant Dec,: 75,6°
Meteor Shower: sporadic
Meteoroid's Orbital Elements:
Perihelion distance: 0,974 AU
Eccentricity: 0,984
Inclination: 28,1°
Long, of Asc, Node: 5,9°
Argument of Perihelion: 162,2°
Mean Anomaly: 0,0°
Epoch: 2026 MAR 26 23:26:39
orbit plot

Neinteraktivní graf | Interaktivní graf

position vs time
speed and acceleration

Finnskogen (FIN) cam4


preview
Videos:
Gnomonic
Gnomonic with coordinates
Original
Original with coordinates
Images:
Gnomonic
Gnomonic with coordinates
Original
Original with coordinates
Text Files:
Detection
Observation
Coordinates
Log
Brightness