🇳🇴 🇬🇧 🇩🇪 🇨🇿 🇫🇮

Meteor, poloha: Hvittingfoss 2026-03-27 00:54:28 UTC

Soubor KML  |  Interaktivní mapa

Mapa zobrazuje dráhy meteoru. Světlejší čáry ukazují směry od pozorovacích stanic při objevení se meteoru a tmavší čáry, kde byl naposledy viděn. Modrá šipka značí viditelnou dráhu meteoru.

static map
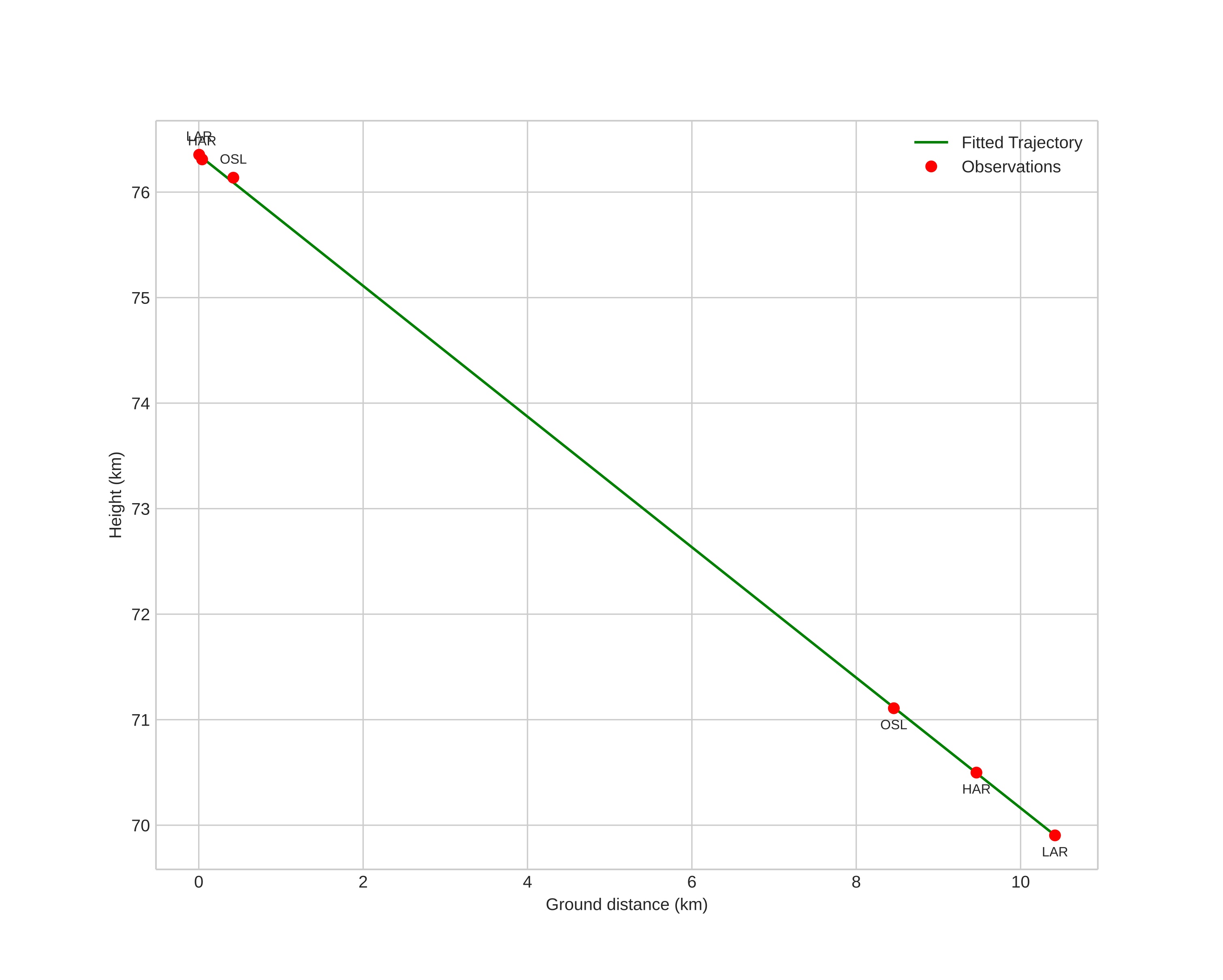
height profile
Meteor's Atmospheric Trajectory:
Start height: 76,4 km
End height: 69,9 km
Start position: 59,576N 9,989E
End position: 59,502N 10,104E
Direction: 141,5°
Inclination angle: 32,0°
Entry speed: 21,0 km/s
Radiant R,A,: 05:36 (84,2°)
Radiant Dec,: 47,5°
Meteor Shower: sporadic
Meteoroid's Orbital Elements:
Perihelion distance: 0,993 AU
Eccentricity: 1,449
Inclination: 9,1°
Long, of Asc, Node: 6,0°
Argument of Perihelion: 172,9°
Mean Anomaly: 1,4°
Epoch: 2026 MAR 27 00:54:28
orbit plot

Neinteraktivní graf | Interaktivní graf

position vs time
speed and acceleration