🇳🇴 🇬🇧 🇩🇪 🇨🇿 🇫🇮

Meteor, poloha: Larvik 2026-03-27 00:56:22 UTC

Soubor KML  |  Interaktivní mapa

Mapa zobrazuje dráhy meteoru. Světlejší čáry ukazují směry od pozorovacích stanic při objevení se meteoru a tmavší čáry, kde byl naposledy viděn. Modrá šipka značí viditelnou dráhu meteoru.

static map
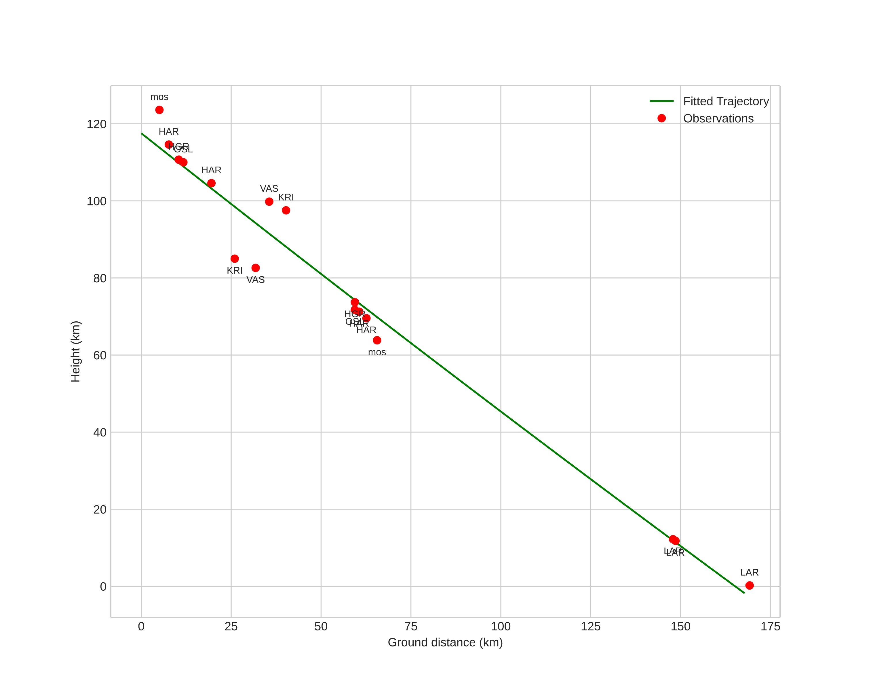
height profile
wind profile
Meteor's Atmospheric Trajectory:
Start height: 117,6 km
End height: -1,8 km
Start position: 57,577N 10,483E
End position: 59,074N 10,117E
Direction: 352,8°
Inclination angle: 35,4°
orbit plot

Neinteraktivní graf | Interaktivní graf

position vs time
speed and acceleration

Kristiansand (KRI) cam2


preview
Videos:
Gnomonic
Gnomonic with coordinates
Original
Original with coordinates
Images:
Gnomonic
Gnomonic with coordinates
Original
Original with coordinates
Text Files:
Detection
Observation
Coordinates
Log
Brightness