🇳🇴 🇬🇧 🇩🇪 🇨🇿 🇫🇮

Meteor, poloha: Ryggebyen 2026-03-27 02:02:23 UTC

Soubor KML  |  Interaktivní mapa

Mapa zobrazuje dráhy meteoru. Světlejší čáry ukazují směry od pozorovacích stanic při objevení se meteoru a tmavší čáry, kde byl naposledy viděn. Modrá šipka značí viditelnou dráhu meteoru.

static map
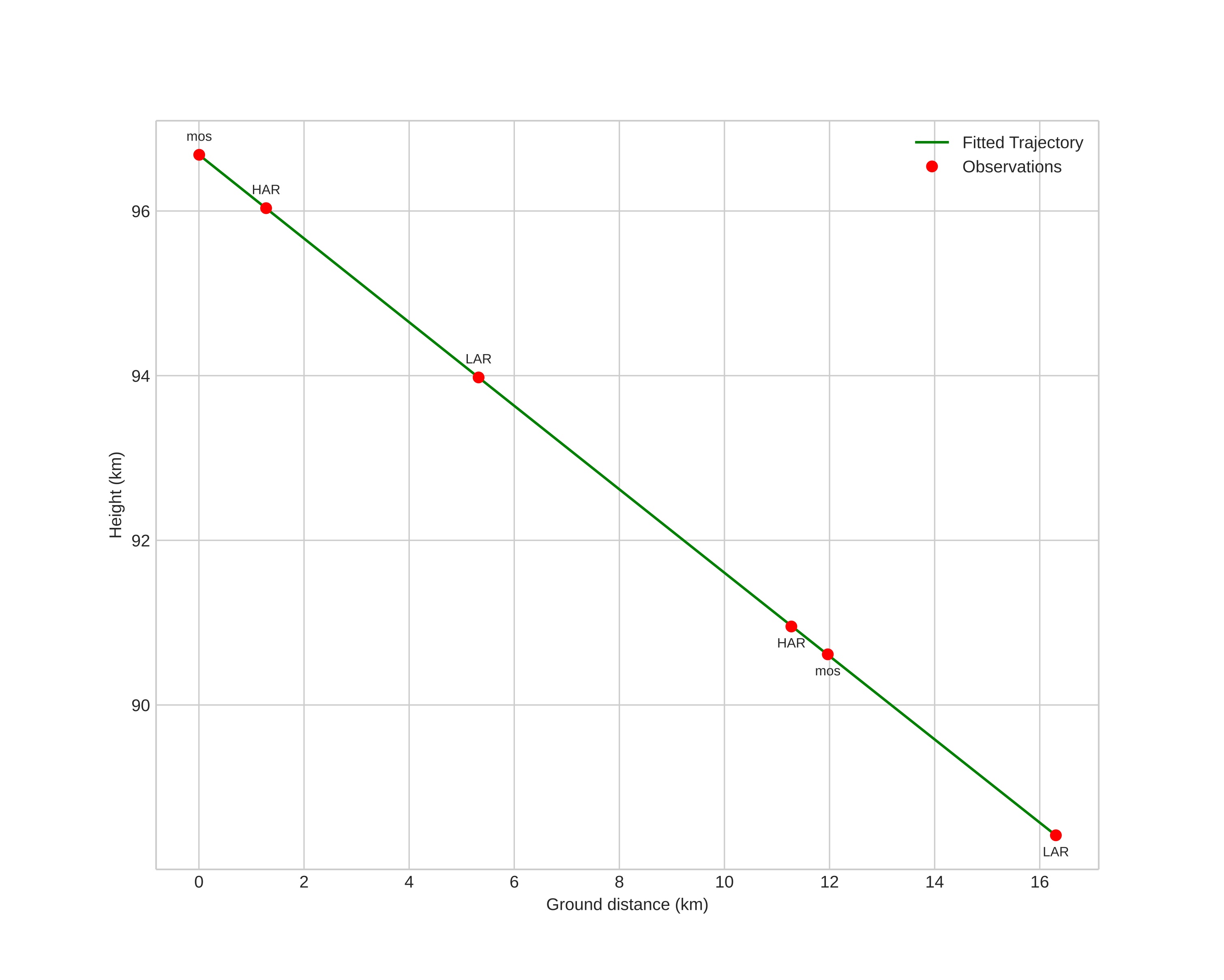
height profile
wind profile
Meteor's Atmospheric Trajectory:
Start height: 96,7 km
End height: 88,4 km
Start position: 59,456N 11,006E
End position: 59,371N 10,770E
Direction: 235,1°
Inclination angle: 27,0°
Entry speed: 33,6 km/s
Radiant R,A,: 22:12 (333,2°)
Radiant Dec,: 38,9°
Meteor Shower: sporadic
Meteoroid's Orbital Elements:
Perihelion distance: 0,682 AU
Eccentricity: 0,888
Inclination: 41,7°
Long, of Asc, Node: 6,1°
Argument of Perihelion: 109,1°
Mean Anomaly: 2,5°
Epoch: 2026 MAR 27 02:02:23
orbit plot

Neinteraktivní graf | Interaktivní graf

position vs time
speed and acceleration