🇳🇴 🇬🇧 🇩🇪 🇨🇿 🇫🇮

Meteor Ryggebyenin yllä 2026-03-27 02:02:23 UTC

KML-tiedosto  |  Interaktiivinen kartta

Kartta näyttää meteorin suuntahavainnot. Vaaleammat viivat näyttävät suunnat havaintoasemilta meteorin ilmestyessä, ja tummemmat viivat näyttävät, missä se viimeksi nähtiin. Sininen nuoli näyttää meteorin näkyvän lennon.

static map
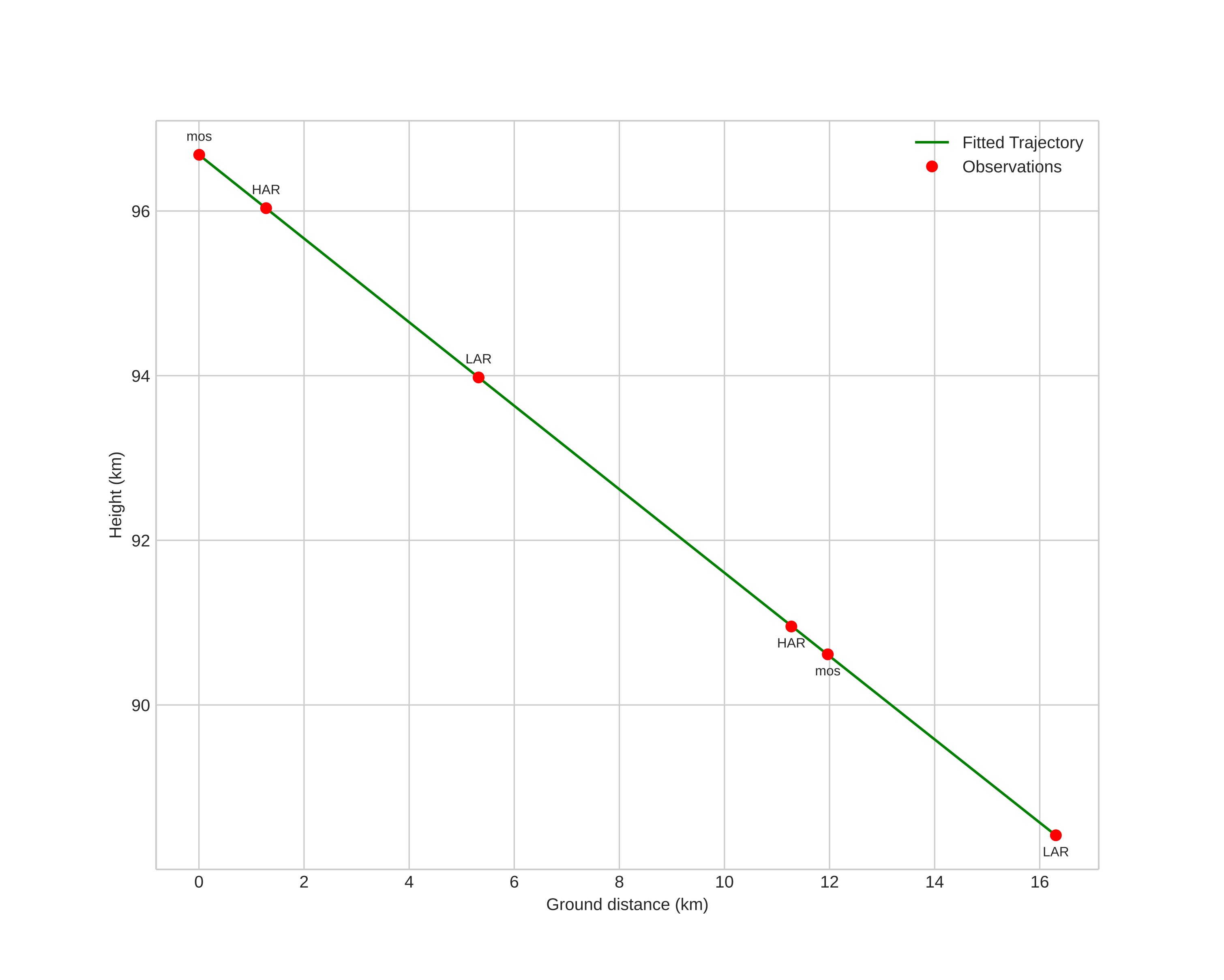
height profile
wind profile
Meteor's Atmospheric Trajectory:
Start height: 96,7 km
End height: 88,4 km
Start position: 59,456N 11,006E
End position: 59,371N 10,770E
Direction: 235,1°
Inclination angle: 27,0°
Entry speed: 33,6 km/s
Radiant R,A,: 22:12 (333,2°)
Radiant Dec,: 38,9°
Meteor Shower: sporadic
Meteoroid's Orbital Elements:
Perihelion distance: 0,682 AU
Eccentricity: 0,888
Inclination: 41,7°
Long, of Asc, Node: 6,1°
Argument of Perihelion: 109,1°
Mean Anomaly: 2,5°
Epoch: 2026 MAR 27 02:02:23
orbit plot

Ei-interaktiivinen kuvaaja | Interaktiivinen kuvaaja

position vs time
speed and acceleration

Harestua (HAR) cam3


preview
Videos:
• Gnomonic
• Gnomonic with coordinates
• Original
• Original with coordinates
Images:
• Gnomonic
• Gnomonic with coordinates
• Original
• Original with coordinates
Text Files:
• Detection
• Observation
• Coordinates
• Log
Brightness

Larvik (LAR) cam6


preview
Videos:
• Gnomonic
• Gnomonic with coordinates
• Original
• Original with coordinates
Images:
• Gnomonic
• Gnomonic with coordinates
• Original
• Original with coordinates
Text Files:
• Detection
• Observation
• Coordinates
• Log
Brightness

Moss (mos) cam7


preview
Videos:
• Gnomonic
• Gnomonic with coordinates
• Original
• Original with coordinates
Images:
• Gnomonic
• Gnomonic with coordinates
• Original
• Original with coordinates
Text Files:
• Detection
• Observation
• Coordinates
• Log
Brightness