🇳🇴 🇬🇧 🇩🇪 🇨🇿 🇫🇮

Meteor, poloha: Løten 2026-03-27 03:08:41 UTC

Soubor KML  |  Interaktivní mapa

Mapa zobrazuje dráhy meteoru. Světlejší čáry ukazují směry od pozorovacích stanic při objevení se meteoru a tmavší čáry, kde byl naposledy viděn. Modrá šipka značí viditelnou dráhu meteoru.

static map
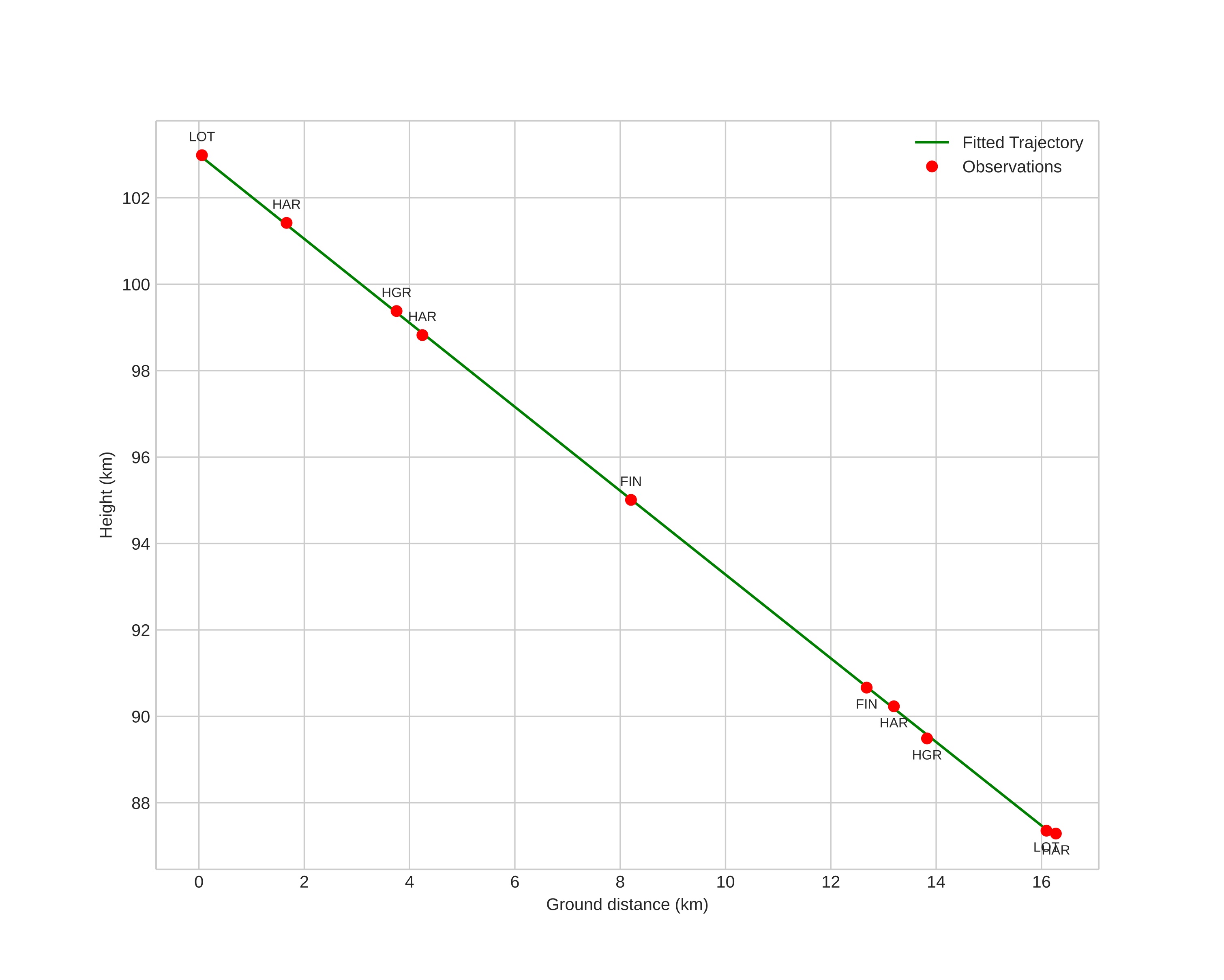
height profile
Meteor's Atmospheric Trajectory:
Start height: 103,0 km
End height: 87,2 km
Start position: 60,887N 11,647E
End position: 60,887N 11,347E
Direction: 270,1°
Inclination angle: 44,2°
Entry speed: 49,1 km/s
Radiant R,A,: 20:31 (307,9°)
Radiant Dec,: 37,0°
Meteor Shower: sporadic
Meteoroid's Orbital Elements:
Perihelion distance: 0,789 AU
Eccentricity: 1,261
Inclination: 73,5°
Long, of Asc, Node: 6,1°
Argument of Perihelion: 128,6°
Mean Anomaly: 5,4°
Epoch: 2026 MAR 27 03:08:41
orbit plot

Neinteraktivní graf | Interaktivní graf

position vs time
speed and acceleration

Finnskogen (FIN) cam7


preview
Videos:
Gnomonic
Gnomonic with coordinates
Original
Original with coordinates
Images:
Gnomonic
Gnomonic with coordinates
Original
Original with coordinates
Text Files:
Detection
Observation
Coordinates
Log
Brightness