🇳🇴 🇬🇧 🇩🇪 🇨🇿 🇫🇮

Meteor, poloha: Tromsø 2026-03-27 23:29:51 UTC

Soubor KML  |  Interaktivní mapa

Mapa zobrazuje dráhy meteoru. Světlejší čáry ukazují směry od pozorovacích stanic při objevení se meteoru a tmavší čáry, kde byl naposledy viděn. Modrá šipka značí viditelnou dráhu meteoru.

static map
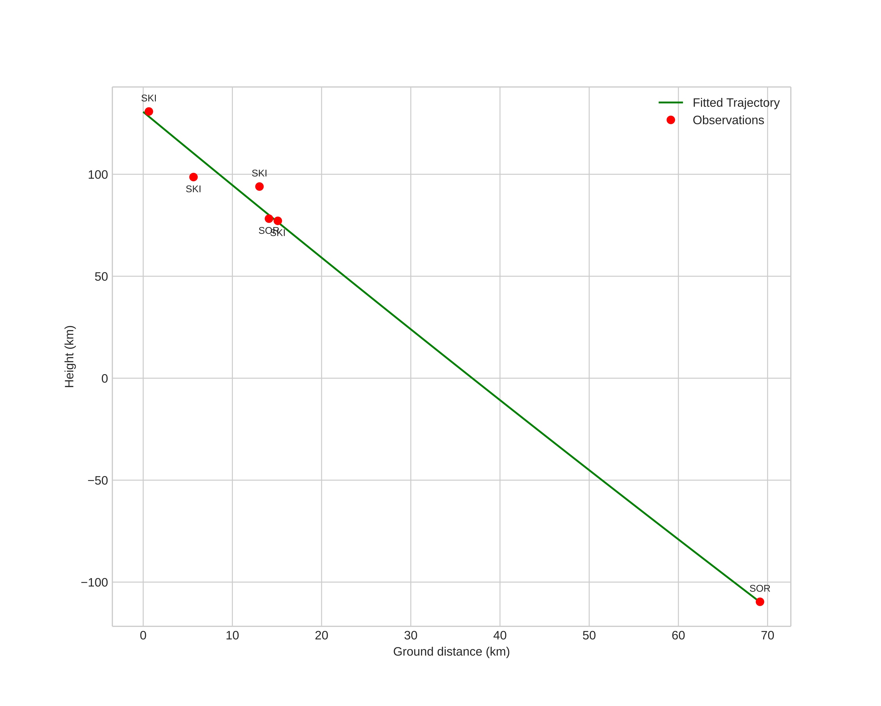
height profile
Meteor's Atmospheric Trajectory:
Start height: 130,6 km
End height: -109,7 km
Start position: 68,802N 19,703E
End position: 69,348N 18,872E
Direction: 331,9°
Inclination angle: 74,0°
Entry speed: 73,0 km/s
Radiant R,A,: 13:59 (209,8°)
Radiant Dec,: 53,8°
Meteor Shower: sporadic
Meteoroid's Orbital Elements:
Perihelion distance: 0,879 AU
Eccentricity: 5,728
Inclination: 58,4°
Long, of Asc, Node: 6,9°
Argument of Perihelion: 210,6°
Mean Anomaly: -132,2°
Epoch: 2026 MAR 27 23:29:51
orbit plot

Neinteraktivní graf | Interaktivní graf

position vs time
speed and acceleration