🇳🇴 🇬🇧 🇩🇪 🇨🇿 🇫🇮

Meteor, poloha: Grimstad 2026-03-28 03:25:31 UTC

Soubor KML  |  Interaktivní mapa

Mapa zobrazuje dráhy meteoru. Světlejší čáry ukazují směry od pozorovacích stanic při objevení se meteoru a tmavší čáry, kde byl naposledy viděn. Modrá šipka značí viditelnou dráhu meteoru.

static map
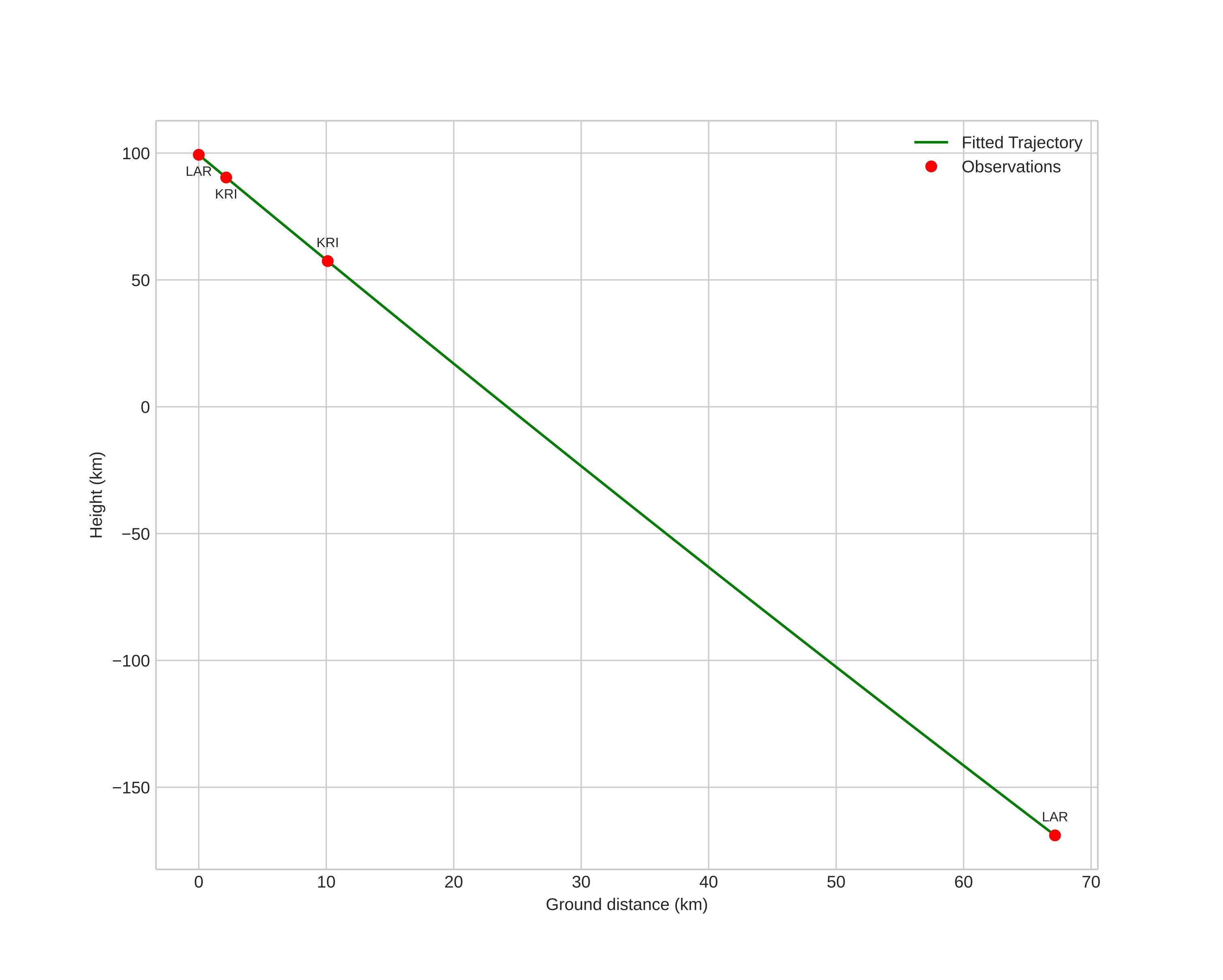
height profile
Meteor's Atmospheric Trajectory:
Start height: 99,3 km
End height: -169,0 km
Start position: 58,060N 7,779E
End position: 57,744N 8,747E
Direction: 121,2°
Inclination angle: 75,9°
Entry speed: 39,3 km/s
Radiant R,A,: 14:24 (216,2°)
Radiant Dec,: 62,7°
Meteor Shower: sporadic
Meteoroid's Orbital Elements:
Perihelion distance: 0,950 AU
Eccentricity: 1,924
Inclination: 44,5°
Long, of Asc, Node: 7,1°
Argument of Perihelion: 202,0°
Mean Anomaly: -11,8°
Epoch: 2026 MAR 28 03:25:31
orbit plot

Neinteraktivní graf | Interaktivní graf

position vs time
speed and acceleration

Kristiansand (KRI) cam7


preview
Videos:
Gnomonic
Gnomonic with coordinates
Original
Original with coordinates
Images:
Gnomonic
Gnomonic with coordinates
Original
Original with coordinates
Text Files:
Detection
Observation
Coordinates
Log
Brightness