🇳🇴 🇬🇧 🇩🇪 🇨🇿 🇫🇮

Meteor, poloha: Älvdalen 2026-03-29 01:24:37 UTC

Soubor KML  |  Interaktivní mapa

Mapa zobrazuje dráhy meteoru. Světlejší čáry ukazují směry od pozorovacích stanic při objevení se meteoru a tmavší čáry, kde byl naposledy viděn. Modrá šipka značí viditelnou dráhu meteoru.

static map
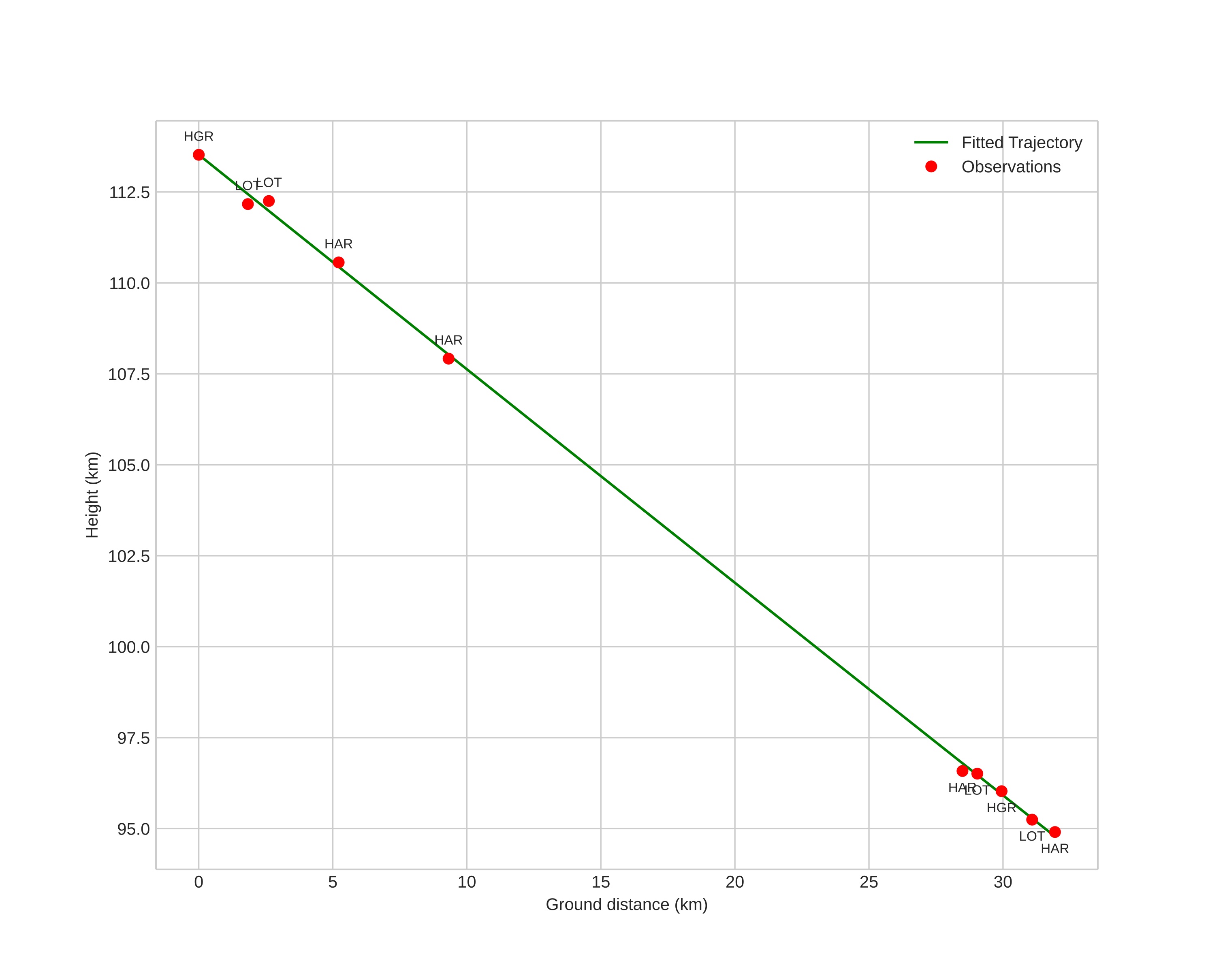
height profile
Meteor's Atmospheric Trajectory:
Start height: 113,5 km
End height: 94,8 km
Start position: 61,568N 13,735E
End position: 61,676N 13,176E
Direction: 292,4°
Inclination angle: 30,4°
Entry speed: 65,9 km/s
Radiant R,A,: 18:29 (277,5°)
Radiant Dec,: 16,3°
Meteor Shower: sporadic
Meteoroid's Orbital Elements:
Perihelion distance: 0,997 AU
Eccentricity: 1,375
Inclination: 116,0°
Long, of Asc, Node: 8,0°
Argument of Perihelion: 176,5°
Mean Anomaly: 0,5°
Epoch: 2026 MAR 29 01:24:37
orbit plot

Neinteraktivní graf | Interaktivní graf

position vs time
speed and acceleration