🇳🇴 🇬🇧 🇩🇪 🇨🇿 🇫🇮

Meteor Bengtsforsin yllä 2026-04-01 03:02:44 UTC

KML-tiedosto  |  Interaktiivinen kartta

Kartta näyttää meteorin suuntahavainnot. Vaaleammat viivat näyttävät suunnat havaintoasemilta meteorin ilmestyessä, ja tummemmat viivat näyttävät, missä se viimeksi nähtiin. Sininen nuoli näyttää meteorin näkyvän lennon.

static map
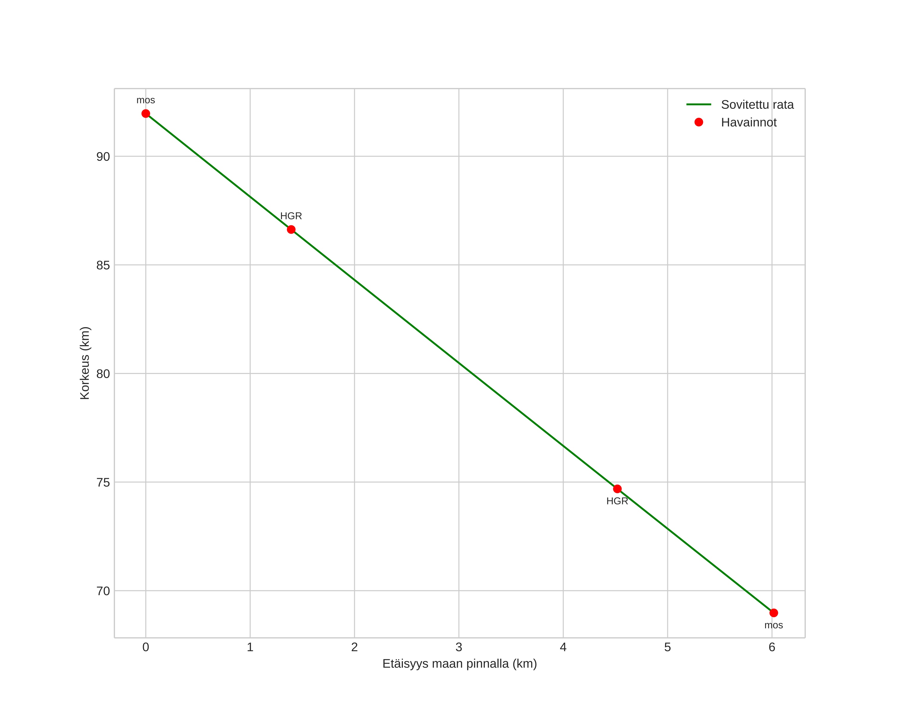
height profile
Meteorin ilmakehärata:
Alkukorkeus: 92,0 km
Loppukorkeus: 69,0 km
Alkupiste: 59,155N 12,243E
Loppupiste: 59,139N 12,142E
Suunta: 252,4°
Kallistuskulma: 75,3°
Tulonopeus: 40,8 km/s
Radiantin R,A,: 18:25 (276,4°)
Radiantin Dekl,: 60,4°
Meteoriparvi: Sporadinen
Meteoroidin rataelementit:
Perihelietäisyys: 0,998 AU
Eksentrisyys: 1,432
Inklinaatio: 56,9°
Nousevan solmun pituus: 11,0°
Perihelin argumentti: 176,2°
Keskianomalia: 0,7°
Epookki: 2026 APR 01 03:02:44
orbit plot

Ei-interaktiivinen kuvaaja | Interaktiivinen kuvaaja

position vs time
speed and acceleration

Hagar (HGR) cam4


preview
Videot:
• Gnomoninen
• Gnomoninen koordinaateilla
• Alkuperäinen
• Alkuperäinen koordinaateilla
Kuvat:
• Gnomoninen
• Gnomoninen koordinaateilla
• Alkuperäinen
• Alkuperäinen koordinaateilla
Tekstitiedostot:
• Havaintoraportti
• Observaatio
• Koordinaatit
• Loki
Kirkkaus

Moss (mos) cam7


preview
Videot:
• Gnomoninen
• Gnomoninen koordinaateilla
• Alkuperäinen
• Alkuperäinen koordinaateilla
Kuvat:
• Gnomoninen
• Gnomoninen koordinaateilla
• Alkuperäinen
• Alkuperäinen koordinaateilla
Tekstitiedostot:
• Havaintoraportti
• Observaatio
• Koordinaatit
• Loki
Kirkkaus