🇳🇴 🇬🇧 🇩🇪 🇨🇿 🇫🇮

Meteor, poloha: Brøstadbotn 2026-04-04 00:35:59 UTC

Soubor KML  |  InteraktivnĂ­ mapa

Mapa zobrazuje dráhy meteoru. Světlejší čáry ukazují směry od pozorovacích stanic při objevení se meteoru a tmavší čáry, kde byl naposledy viděn. Modrá šipka značí viditelnou dráhu meteoru.

static map
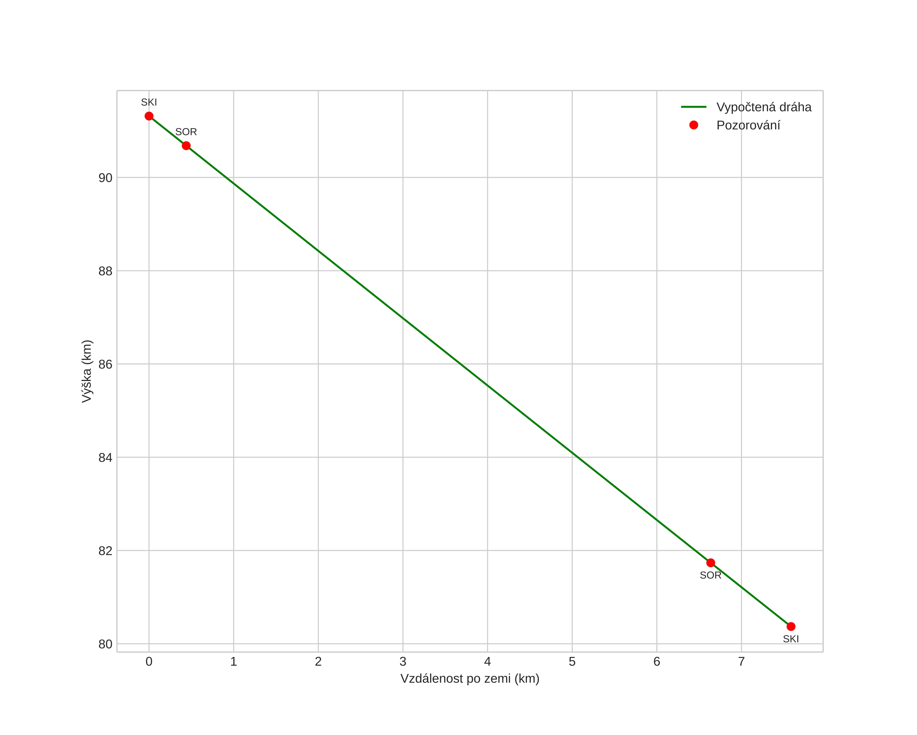
height profile
Atmosférická dráha meteoru:
Počáteční výška: 91,3 km
Konečná výška: 80,4 km
Počáteční poloha: 69,170N 17,963E
Konečná poloha: 69,119N 17,835E
Směr: 221,7°
Sklon: 55,2°
VstupnĂ­ rychlost: 30,4 km/s
Rektascenze radiantu: 21:46 (326,6°)
Deklinace radiantu: 65,9°
MeteorickĂ˝ roj: sporadickĂ˝
Elementy dráhy meteoroidu:
Vzdálenost v periheliu: 0,935 AU
Excentricita: 1,043
Sklon dráhy: 39,5°
Délka vzestupného uzlu: 13,9°
Argument perihelia: 150,9°
Střední anomálie: 0,2°
Epocha: 2026 APR 04 00:35:59
orbit plot

NeinteraktivnĂ­ graf | InteraktivnĂ­ graf

position vs time
speed and acceleration

Skibotn (SKI) cam5


preview
Videa
• Gnomonický
• Gnomonická se souřadnicemi
• Původní
• Původní se souřadnicemi
Obrázky
• Gnomonický
• Gnomonická se souřadnicemi
• Původní
• Původní se souřadnicemi
Textové soubory
• Detekce
• Pozorování
• Souřadnice
• Protokol
Jasnost

Sorreisa (SOR) cam7


preview
Videa
• Gnomonický
• Gnomonická se souřadnicemi
• Původní
• Původní se souřadnicemi
Obrázky
• Gnomonický
• Gnomonická se souřadnicemi
• Původní
• Původní se souřadnicemi
Textové soubory
• Detekce
• Pozorování
• Souřadnice
• Protokol
Jasnost