🇳🇴 🇬🇧 🇩🇪 🇨🇿 🇫🇮

Meteor, poloha: Orsa 2026-04-05 00:09:07 UTC

Soubor KML  |  InteraktivnĂ­ mapa

Mapa zobrazuje dráhy meteoru. Světlejší čáry ukazují směry od pozorovacích stanic při objevení se meteoru a tmavší čáry, kde byl naposledy viděn. Modrá šipka značí viditelnou dráhu meteoru.

static map
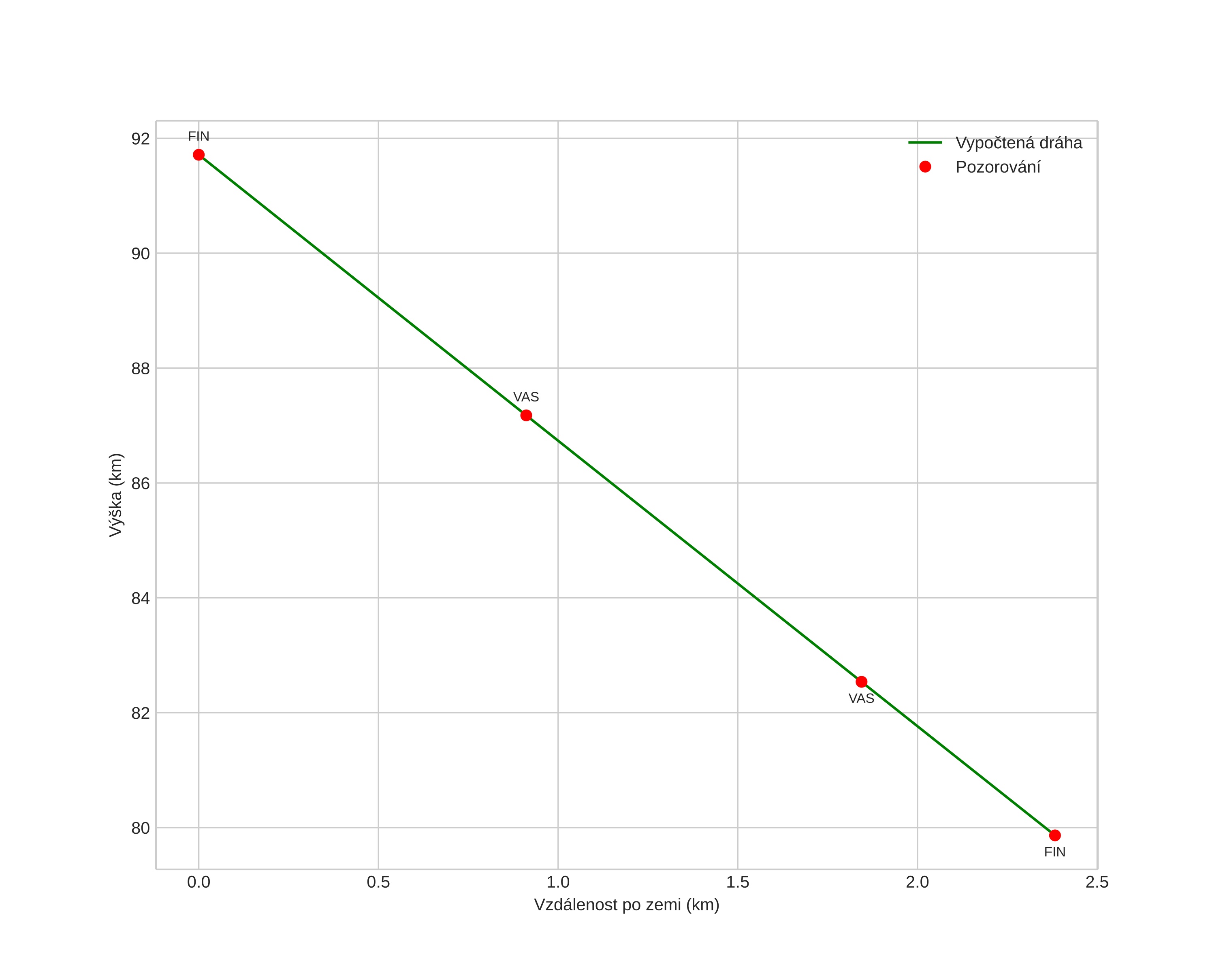
height profile
Atmosférická dráha meteoru:
Počáteční výška: 91,7 km
Konečná výška: 79,9 km
Počáteční poloha: 61,333N 14,700E
Konečná poloha: 61,314N 14,683E
Směr: 202,3°
Sklon: 78,6°
VstupnĂ­ rychlost: 24,5 km/s
Rektascenze radiantu: 14:52 (223,1°)
Deklinace radiantu: 72,1°
MeteorickĂ˝ roj: sporadickĂ˝
Elementy dráhy meteoroidu:
Vzdálenost v periheliu: 0,994 AU
Excentricita: 0,879
Sklon dráhy: 30,9°
Délka vzestupného uzlu: 14,9°
Argument perihelia: 189,6°
Střední anomálie: 359,7°
Epocha: 2026 APR 05 00:09:07
orbit plot

NeinteraktivnĂ­ graf | InteraktivnĂ­ graf

position vs time
speed and acceleration

Finnskogen (FIN) cam2


preview
Videa
• Gnomonický
• Gnomonická se souřadnicemi
• Původní
• Původní se souřadnicemi
Obrázky
• Gnomonický
• Gnomonická se souřadnicemi
• Původní
• Původní se souřadnicemi
Textové soubory
• Detekce
• Pozorování
• Souřadnice
• Protokol
Jasnost

Vasteras (VAS) cam1


preview
Videa
• Gnomonický
• Gnomonická se souřadnicemi
• Původní
• Původní se souřadnicemi
Obrázky
• Gnomonický
• Gnomonická se souřadnicemi
• Původní
• Původní se souřadnicemi
Textové soubory
• Detekce
• Pozorování
• Souřadnice
• Protokol
Jasnost