🇳🇴 🇬🇧 🇩🇪 🇨🇿 🇫🇮

Meteor, poloha: Ă–regrund 2026-04-05 00:13:26 UTC

Soubor KML  |  InteraktivnĂ­ mapa

Mapa zobrazuje dráhy meteoru. Světlejší čáry ukazují směry od pozorovacích stanic při objevení se meteoru a tmavší čáry, kde byl naposledy viděn. Modrá šipka značí viditelnou dráhu meteoru.

static map
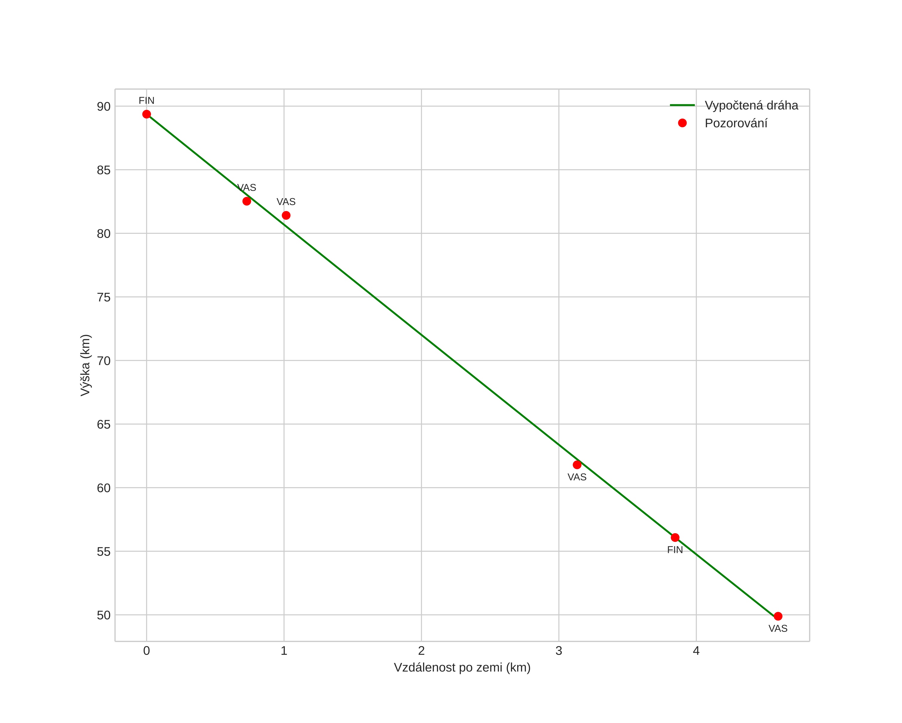
height profile
Atmosférická dráha meteoru:
Počáteční výška: 89,4 km
Konečná výška: 49,9 km
Počáteční poloha: 61,478N 18,667E
Konečná poloha: 61,458N 18,592E
Směr: 241,1°
Sklon: 83,4°
VstupnĂ­ rychlost: 23,2 km/s
Rektascenze radiantu: 15:11 (228,0°)
Deklinace radiantu: 64,3°
MeteorickĂ˝ roj: sporadickĂ˝
Elementy dráhy meteoroidu:
Vzdálenost v periheliu: 0,979 AU
Excentricita: 0,652
Sklon dráhy: 30,9°
Délka vzestupného uzlu: 14,9°
Argument perihelia: 198,7°
Střední anomálie: 357,0°
Epocha: 2026 APR 05 00:13:26
orbit plot

NeinteraktivnĂ­ graf | InteraktivnĂ­ graf

position vs time
speed and acceleration

Finnskogen (FIN) cam2


preview
Videa
• Gnomonický
• Gnomonická se souřadnicemi
• Původní
• Původní se souřadnicemi
Obrázky
• Gnomonický
• Gnomonická se souřadnicemi
• Původní
• Původní se souřadnicemi
Textové soubory
• Detekce
• Pozorování
• Souřadnice
• Protokol
Jasnost

Vasteras (VAS) cam1


preview
Videa
• Gnomonický
• Gnomonická se souřadnicemi
• Původní
• Původní se souřadnicemi
Obrázky
• Gnomonický
• Gnomonická se souřadnicemi
• Původní
• Původní se souřadnicemi
Textové soubory
• Detekce
• Pozorování
• Souřadnice
• Protokol
Jasnost

Vasteras (VAS) cam2


preview
Videa
• Gnomonický
• Gnomonická se souřadnicemi
• Původní
• Původní se souřadnicemi
Obrázky
• Gnomonický
• Gnomonická se souřadnicemi
• Původní
• Původní se souřadnicemi
Textové soubory
• Detekce
• Pozorování
• Souřadnice
• Protokol
Jasnost