🇳🇴 🇬🇧 🇩🇪 🇨🇿 🇫🇮

Meteor, poloha: Hovden 2026-04-06 23:24:17 UTC

Soubor KML  |  Interaktivní mapa

Mapa zobrazuje dráhy meteoru. Světlejší čáry ukazují směry od pozorovacích stanic při objevení se meteoru a tmavší čáry, kde byl naposledy viděn. Modrá šipka značí viditelnou dráhu meteoru.

static map
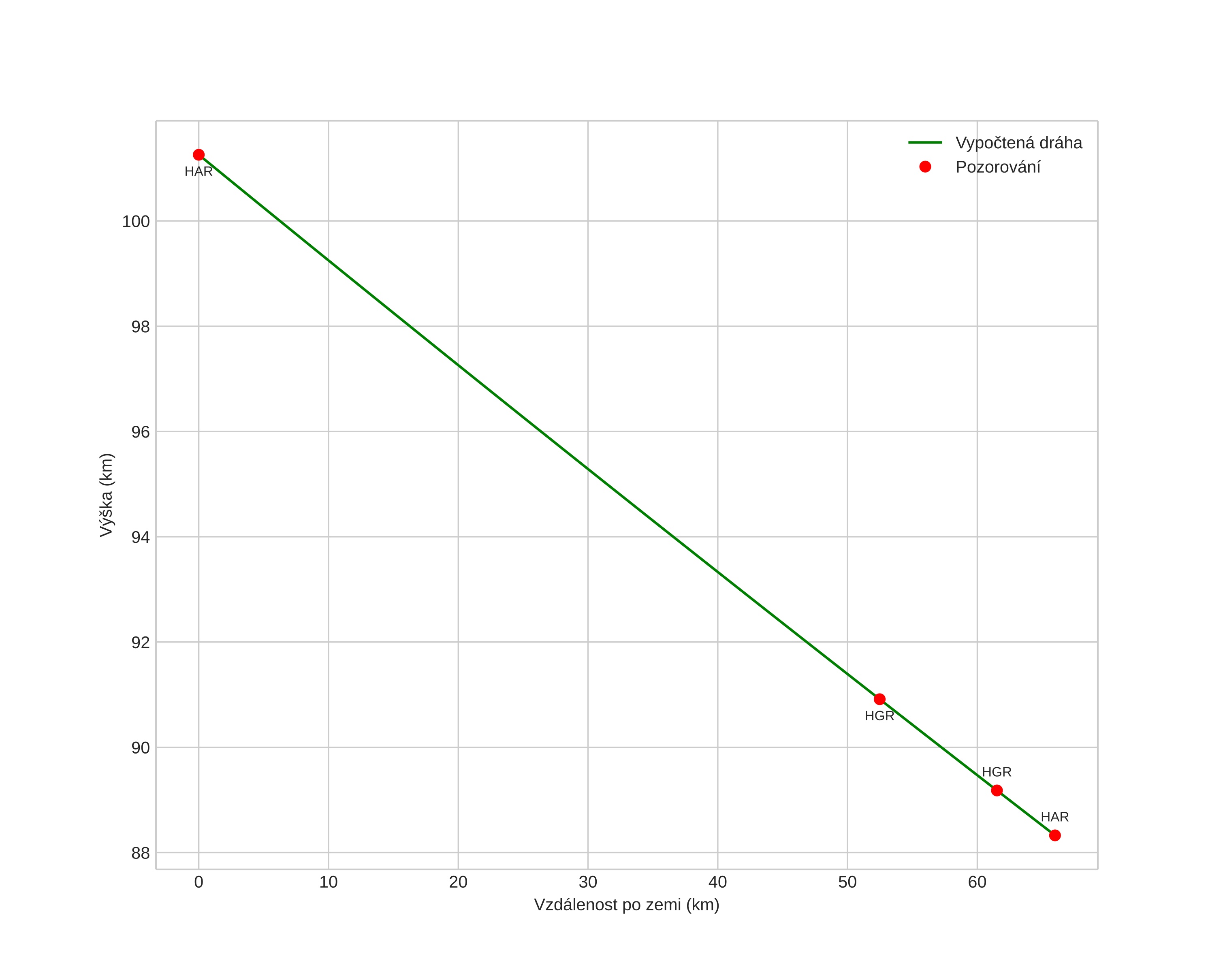
height profile
Atmosférická dráha meteoru:
Počáteční výška: 101,3 km
Konečná výška: 88,3 km
Počáteční poloha: 59,664N 6,388E
Konečná poloha: 59,994N 7,369E
Směr: 55,8°
Sklon: 11,1°
orbit plot

Neinteraktivní graf | Interaktivní graf

position vs time
speed and acceleration